阿摩線上測驗
登入
首頁
>
研究所、轉學考(插大)◆熱力學
> 109年 - 109中原大學_碩士班招生考試_化學工程學系︰熱力學及動力學#101437
109年 - 109中原大學_碩士班招生考試_化學工程學系︰熱力學及動力學#101437
科目:
研究所、轉學考(插大)◆熱力學 |
年份:
109年 |
選擇題數:
0 |
申論題數:
10
試卷資訊
所屬科目:
研究所、轉學考(插大)◆熱力學
選擇題 (0)
申論題 (10)
(1)
True/false
: A rubber band is stretched non-spontaneously at 1 bar and 298 K. The temperature of rubber band increases considerably when it is stretched to large extensions. Therefore, the entropy change for this process is negative. △G =△H - T△S
(2)
True/false:
The fugacity coefficient (γ) is less than zero when a real gas at its Boyle temperature.
f= γ(P, T )P
Problem 2
A turbine operating on compressed air in a steady state produces 1 kW of work. The inlet and exit conditions are 300 kPa, 300 K and 200 kPa, 250K, respectively. Find the required mass flow rate of air. Assuming the process is adiabatic and the changes of kinetic and potential energy are ignored.
(1) Calculate the partial pressures of A and B in the gas phase.
(2) A portion of the gas phase is removed and condensed in a separate container. Calculate the partial pressures of A and B in equilibrium with this liquid sample at 30 ℃.
(a) –rA = k with k = 0.05 mol/h⋅dm
3
.
(b)
(c) –rA = kCA
2
with k = 3 dm
3
/mol⋅h The entering volumetric flow rate is 10 dm
3
/h.
Problem 5
The reaction A → B + C was carried out in a constant-volume batch reactor where the
following contraction measurements were recorded as a function of time.
Determine the reaction order and specific reaction rate constant.
Problem 6
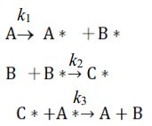
The corresponding reaction mechanism of A→ A + B under UV radiation is as follows:
Derive a rate law of the decomposition of A by pseudo steady-state hypothesis. (10%)
[Note: A*, B* and C* are active intermediate species]