所屬科目:初等/五等/佐級◆資料處理大意
19 以 fibonacci(5)呼叫下列Java 函式。要取得 fibonacci(5)的答案,fibonacci()函式總共會被呼叫幾次? (A) 6 次 (B) 11 次 (C) 15 次 (D) 19 次
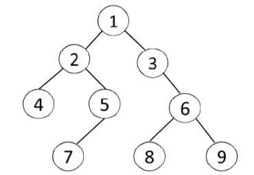
47 如圖中二元樹(Binary Tree)若以中序遍歷(Inorder Traversal)則傳回的順序應是下列那一選項? (A) 427513869 (B) 124573689 (C) 457213689 (D) 452713689