所屬科目:初等/五等/佐級◆資料處理大意
6 請問以下之程式中,f(1542, 66)的值為何? (A)2 (B)4 (C)6 (D)8
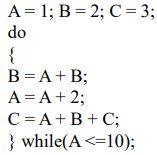
17 請問以下的程式片段,最後的 C 值是多少? (A) 20 (B) 38 (C) 65 (D) 103
22 小蘇要透過 email 系統傳送信件給相關朋友,他寄信的方式與對象如下: 請問下列敘述何者正確? (A)小國不知道這封信件有寄給小鍾 (B)小鍾不知道這封信件有寄給小華 (C)小明不知道這封信件有寄給小國 (D)小瑛不知道這封信件有寄給小華
23 根據以下的真值表可以輸出 Y 值,請問那一個是正確的布林代數運算式? (A) Y= A + B+ C (B) (C) (D)
31 請問下列二元樹其前序走訪(Pre-order)何者正確? (A) BQAVNRSMP (B) BQVNSARMP (C) AQVNBRMSP (D) ANVQMPSRB
33 給定下列一個 C 程式片段,請問此程式執行後輸出為何? (A) 83 (B) 38 (C) 85 (D) 53
35 給定一個資料關聯 R 以及其屬性間的相依性(dependences)如下: 請問其最高符合下列那一種正規化形式? (A)第一正規化(1NF) (B)第二正規化(2NF) (C)第三正規化(3NF) (D) Boyce-Codd 正規化(BCNF)
36 根據以下的網路組織圖,為了進一步檢測防火牆(Firewall)無法識別的攻擊意圖,資訊安全人員建議應該 裝置一個網路入侵檢測系統(IDS, network intrusion detection system),請問此 IDS 應該置於那兩者之間? (A) Internet 與 Firewall 之間 (B) Firewall 與組織內部網路之間 (C) Internet 與 Web Server 之間 (D) Web Server 與 Firewall 之間