所屬科目:初等/五等/佐級◆資料處理大意
5 將 10 進位數值轉成 2 進位表示,其值為何? (A)(11010011.1101)2 (B)(1010011.1101)2 (C)(1010011.10011)2 (D)(1010001.1101)2
6 將 8 進位數值(77.77)8轉成 2 進位及 16 進位表示,其值分別為何? (A)(111111.111111)2及 (B)(111111.110111)2及 (C)(111011.111111)2及 (D)(101111.111101)2及
9 下列 C 語言敘述片段執行結果為何?(A) 0101 (B) 0100 (C) 1001 (D)語法錯誤
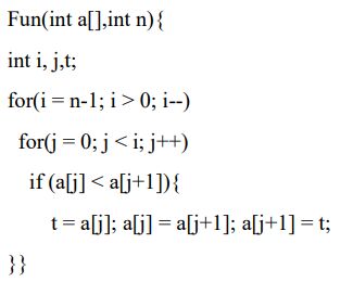
10 現有一 C 語言函數 Fun 如下所示,如輸入陣列 a[]= {8,6,4,1,3,5}及 n=6,執行後 a[]陣列為下列何者? (A){1,3,4,5,6,8} (B){8,6,5,4,3,1} (C){8,6,4,1,3,5} (D){5,3,1,4,6,8}
11 下列 C 語言敘述片段執行結果為何? (A) 1,2,0,0 (B) 1,0,0,2 (C) 1,2,1,2 (D)語法錯誤
38 以 C 語言撰寫的程式碼共三層 for 迴圈,留意變數 i, j, k 控制每層迴圈的執行次數,請問整個程式碼執行完一遍,最內層的 cout 指令將會執行幾次? (A) n*10 (B)(n+1)*n*5 (C)(n+1)*n*10 (D)(n+1)*n*20