所屬科目:初等/五等/佐級◆資料處理大意
2 某顆 CPU 其系統匯流排傳輸頻率為 1333 MHz,資料寬度為 64 位元,因此其資料頻寬應為:(A) 10.664 GigaBytes/Sec (B) 1333 MegaBits/Sec (C) 85312 MegaBytes/Sec (D) 10664 MegaBits/Sec
7 下列何者是正確的 HTML 超連結寫法? (A)<a url=http://www.google.com>Google</a> (B)<a name=Google>http://www.google.com></a> (C)<a href=http://www.google.com>Google</a> (D)<a address=http://www.google.com>Google</a>
16 下列 Java 程式執行後的輸出為何?
(A)4 (B)5 (C)6 (D)7
18 於 HTML 中,那個標籤可直接在網頁中產生一個獨立區域用來嵌入來自另一個網站的內容? (A)<script> (B)<style> (C)<span> (D)<iframe>
35 電腦中的 2 進位系統對整數的表示法,有帶符號大小(Signed-magnitude),1’s 補數(1’sComplement),2’s 補數(2’s Complement)。假設使用 8 位元來儲存整數,請問下列何者正確? (A) 96 的帶符號大小表示法為 11000000 (B)-96 的 1’s 補數表示法為 10011111 (C) 96 的 2’s 補數表示法為 01110000 (D)-96 的 2’s 補數表示法為 10011111
36 電腦常見的一些數碼系統可以用來表示 10 進位數字,請問下列何者正確?(A) 9 的 BCD 碼為 1001 (B) 3 的 2421 碼為 0100 (C) 8 的 84-2-1 碼為 1001 (D) 4 的超三碼為 0100
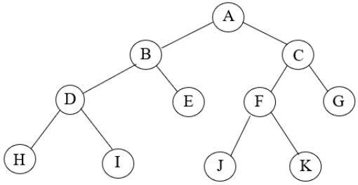
46 二元樹的走訪有前序追蹤(Pre-order)、中序追蹤(In-order)及後序追蹤(Post-order)三種。下列的二元樹,請問若用前序追蹤結果其第三個輸出的節點,中序追蹤結果其第五個輸出的節點,及後序追蹤結果其第八個輸出的節點,各分別是什麼?(A)(B, E, G) (B)(D, A, C) (C)(H, F, G) (D)(H, E, G)
47 一個有 n 個節點的二元樹,共有 2n 個 Link,但實際上有很多鏈結(Link)是浪費掉。為了改善這個問題,就有引線二元樹(Thread Binary Tree)的出現。每一個節點都會有左引線跟右引線分別指到其他合適的節點,並且有額外的欄位來辨識是引線還是正常的指標。若把下圖二元樹的引線畫出來,請問節點 I 的右引線及節點 G 的左引線分別指到那個節點?(A)節點 E 跟節點 F (B)節點 B 跟節點 F (C)節點 B 跟節點 C (D)節點 E 跟節點 C
48 在圖形理論(Graph Theory)中,有一個理論叫做尤拉循環(Eulerian Cycle)。該理論表示,每一個圖(Graph)的頂點(Vertex)有邊(Edge)來連接點,若從其中某一個頂點出發,經過所有的邊,然後又回到原先出發的頂點,請問需要具備什麼條件? (A)連接到每一個頂點的邊數必須是奇數 (B)該圖中所有的邊數總和必須可以讓頂點數總和整除 (C)該圖中所有的邊數總和必須是頂點數總和的偶數倍數 (D)連接到每一個頂點的邊數必須是偶數
49 擴展樹(Spanning Tree)是圖形理論(Graph Theory)中的一種運用。擴展樹是以最少的邊數來連接圖形中所有的頂點,若圖形中的每一個邊加上一些數值當作權重(Weight),這樣的權重可以是成本(Cost)或距離(Distance)。雖然一個圖形可能會有許多的擴張樹,但若考慮每個邊上的權重(或成本),我們可以找到一個最小成本的擴張樹(Minimum Cost Spanning Tree)。以下的圖形,G=(V, E),V 是頂點,V={1, 2, 3, ..., n},E 是連接兩個頂點的邊,邊上的數值代表權重(或成本)。請問下圖中,關於這個圖形的最小成本擴張樹(從頂點 1 開始出發),下列何者正確?(A)頂點 4 跟頂點 7 的邊包含在這個最小成本擴張樹中 (B)最小成本擴張樹所有權重總和為 50 (C)頂點 5 跟頂點 7 的邊包含在這個最小成本擴張樹中(D)最小成本擴張樹所有權重總和為 48
50 最小成本的擴張樹(Minimum Cost Spanning Tree)上的權重若是距離,就可以求從某一個起始節點到終止節點的最小路徑。這可以運用到現今的物流運輸。兩個節點間的箭頭表示行進的方向。如下圖,請問從起始節點 1 到終止節點 7,最短的路徑,下列何者正確?(A)最短路徑距離總和 19 (B)節點 4 到節點 3 是路徑的一部分 (C)節點 3 到節點 5 是路徑的一部分 (D)包含起始節點跟終止節點,共經過 6 個節點