阿摩線上測驗
登入
首頁
>
抽樣方法
> 109年 - 109 身心障礙特種考試_三等_統計:抽樣方法#86434
109年 - 109 身心障礙特種考試_三等_統計:抽樣方法#86434
科目:
抽樣方法 |
年份:
109年 |
選擇題數:
0 |
申論題數:
10
試卷資訊
所屬科目:
抽樣方法
選擇題 (0)
申論題 (10)
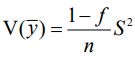
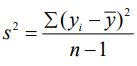
(一)分別列出樣本均數(
)及樣本變異數(
)之抽樣分配。
(二)以數值方式證明
為母體均數(
)之不偏估計式。
(三)以數值方式證明
為母體變異數(
)之不偏估計式。
(四)以數值方式證明
。
(一)欲估計該產業現有業者的紓困需求比例,假設各層抽樣成本相同並能得 到估計值的最小變異數,根據前述的資訊,應如何配置 n=600 的樣本到 這三個區域?(即如何配置 n
1
, n
2
, n
3
)。
(二)若欲採用比例配置法(Proportional Allocation)並得到與第(一)題的估計 值相同的精確度(Precision),應抽出多大的樣本?如何配置各層的樣 本( n
1
, n
2
, n
3
)?【提示:忽略有限母體修正項(fpc)】。
(三)試說明第(一)、(二)題樣本結構與樣本大小的差異。
三、為了解新創產業受疫情衝擊的情況,擬進行一項抽樣調查以估計某一新創 產業在疫情期間申請紓困補助的比例。抽樣方法採一階段集體抽樣 (Single-stage cluster sampling),該新創產業共 300 家公司分散在 15 個 園區(cluster),首先由 15 個園區抽出 3 個園區,這 3 個園區內的公司數 及申請紓困補助的公司數列於下表。根據下表資料估計該新創產業有申請 紓困補助的比例(P)及該估計值之標準誤。
(一)利用下列估計量估計今年平均每棵文旦樹的產量Y 。
1. y
st
:分層隨機抽樣結合簡單均數估計量。
2. y
Rs
:分層隨機抽樣結合分開比率估計量(separate ratio estimator)。
3. y
Rc
:分層隨機抽樣結合混合比率估計量(combined ratio estimator)。
(二)估計第(一)題中各估計量的變異數並比較這三個估計量的精確度。
相關試卷
114年 - 114 公務升官等考試_薦任_統計:抽樣方法#133267
114年 · #133267
114年 - 114 關務特種考試_三等_關稅統計(選試英文):抽樣方法#126580
114年 · #126580
113年 - 113 身心障礙特種考試_三等_統計:抽樣方法#119441
113年 · #119441
112年 - 112 地方政府特種考試_三等_統計:抽樣方法#118383
112年 · #118383
112年 - 112 公務升官等考試_薦任_統計:抽樣方法#117337
112年 · #117337
112年 - 112 高等考試_三級_統計:抽樣方法#115761
112年 · #115761
111年 - 111 地方政府特種考試_三等_統計:抽樣方法#112515
111年 · #112515
111年 - 111 高等考試_三級_統計:抽樣方法#109797
111年 · #109797
111年 - 111 關務特種考試_三等_關稅統計:抽樣方法#107616
111年 · #107616
110年 - 110 地方政府特種考試_三等_統計:抽樣方法#104917
110年 · #104917