所屬科目:技檢◆儀表電子-甲級
7. 設分別為低通濾波 A 及高通濾波器 B 之截止頻率,將 A 與 B 串聯,則下列敘述何者正確? (A)若 ,則不論誰前誰後,可成帶通濾波(B)若 ,且 A 在前 B 在後,可成帶通濾波(C)若> ,且 B 在前 A 在後,可成帶通濾波(D)若,則不論誰前誰後,可成帶拒濾波。
15. 如下圖電路所示,在 S 閉合的瞬間,下列何者正確?(A)I3 =10mA(B)I2 =15mA(C)I3 =0A(D)I1 =15mA。
25. 如下圖電路所示,流過 R1 及 R2 之電流比為 1:2,則 R1 及 R2 之值各為多少?(A)R1 =16Ω、R2 =8Ω (B)R1 =18Ω、R2 =9Ω(C)R1 =20Ω、R2 =10Ω(D)R1 =30Ω、R2 =15Ω。
31. 如下圖電路所示,當開關 S 自 A 點扳至 B 點,一秒鐘以後返回 A 點時,則 Q 之狀態為何?(A)由原來的 high 變為 low 後再變為 high(B)由原來的 low 變為 high 後再變為 low(C)由原來的 high 變為 永久的 low(D)由原來的 low 變為永久的 high。
45. 有一指針式直流電壓表其精確度標示為 5%且電表靈敏度為 2kΩ/V,若以其 10V 檔位量測下圖 20 kΩ 兩端電壓時,下列讀值何者為其可能值?(A)5.6V(B)10.2V(C)9.3V(D)6.6V。
48. 如下圖電路所示之 PAL 電路,其 F 等於以下何者?(A) (B) (C) (D)
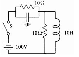
50. 如下圖電路所示,當 t=0 時開關 S 閉合,則閉合之瞬時電源電流及穩態電源電流分別為多少?(A) 5A、5A(B)10A、5A(C)10A、10A(D)5A、10A。
55. 如下圖電路所示,若有輸入信號而無輸出信號,檢查結果如下表所示,則故障之元件為何?(A)R3 開路(B)R2 開路(C)R1 開路(D)R4 開路。
63. 如下圖電路所示,則下列哪些為正確?(A) (B) (C) (D)總阻抗
64. 下列哪些布林函數的關係式為正確?(A)X+YZ=(X+Y)(X+Z) (B) (C) (D)
65. 對於放大器之頻率響應,下列敘述哪些正確?(A)耦合及旁路電容會使高頻響應不良(B)頻率響應只 會發生於電晶體放大器(C)所謂轉折點(-3dB 點)頻率,是指當電壓增益降為中頻段倍時之頻 率(D)放大器之極間電容、雜散電容會使高頻響應不良。
66. T 型與 D 型正反器可用 JK 或 NOR 型 SR 正反器來設計,圖(a)~(d)的設計哪些為正確?(A)圖C為 D 型正反器(B)圖(b)為 D 型正反器(C)圖(d)為 T 型正反器(D)圖(a)為 T 型正反器。
67. 於一純矽半導體,其本質濃度 n i 為原子/cm3,密度為 原子/cm3,若每 108 個矽原子加入一個硼原子,下列敘述哪些正確?(A)形成 P 型半導體(B)電洞濃度為(電洞/cm3)(C)形成 N 型半導體(D)電子濃度為 4.5 X 105(電子/cm3)。
78. 如下圖電路所示,欲使輸出電壓 為 6V,若 R3 +R4 =20Ω、R1 =R2 =20Ω 時,則下列哪些為正 確?(A)i=1.5 A(B)v1 =15V(C)R4 =10Ω(D)R3 =8Ω。