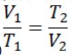
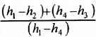
狀態1→2壓縮,2→3凝結,
3→4膨脹,4→1蒸發。利用冷媒發出50KW冷凍容量,
其操作凝結溫度為35,而蒸發溫度為-10本題中h1值
為在-10℃的飽和蒸氣熗,即401.6kj/kg,對應於35
的飽和壓力h2之凝結壓力為1354KPa,而h2值為
435.2kJ/kg.h3與h4值相同,且都等於35℃的飽和液體烩
為 243.1kJ/kgㆍ即h1=401.6kJ/kg ,h2 =435.2kJ/kg,
h
3=h
4= 243.1kj/kg則以千焦耳每公斤為單位的冷凍效
應為:

(A)138.2kJ/kg (B)158.5kJ/kg (C)133.6kJ/kg (D)192.1kJ/kg