所屬科目:奧林匹亞生物
20. 下表為某植物在不同環境下葉片重量與葉綠素含量的比較,據此推論兩棲地環境分別為: (1 分)(A) 甲為極地,乙為熱帶 (B) 甲為疏林,乙為雨林 (C) 甲為遮陰地,乙為向陽地 (D) 甲為酸性地,乙為鹼性地 (E) 甲為富養地,乙為貧脊地
第32題 構樹的葉表皮毛包括腺毛(glandular hairs)與非腺毛兩大類,其中腺毛在葉片的上、 下表面分布稀少,而非腺毛類有多種且大小不同,長而尖細的剛毛(bristle hair; 下 圖的a)是其特色;葉下表面密布短而尖端具彎鉤的毛(bracket hair; 下圖的b);大型 毛(large hair; 下圖的c)通常呈圓錐狀,且僅出現在上表面;具鐘乳體的毛(cystolith hair; 下圖的d)也很多,其基部圓形、先端銳尖,主要分布在上表面。 圖e、f 是葉表皮毛的掃描式電子顯微照片,請回答以下問題。 32. 圖 e 是葉的 表皮;而圖 f 是葉橫切面,其上表皮是在 。(2 分) (A) 上;右上方 (B) 下;右上方 (C) 上;左下方 (D) 下;左下方 (E) 無法判斷
48. 這是三個有關昆蟲翅膀起源的假說示意圖,請根據這個圖推測下列敘述何者錯誤?(2 分) (A) D 圖意謂「側鰓起源假說」 (B) C 圖意謂「背板起源假說」 (C) B 圖意謂「背板起源假說」 (D) D 圖意謂旨「足基外葉起源假說」 (E) 若 B 與 D 假說皆成立,意味著某一處的組織可能發生基因招募(gene recruitment)
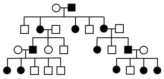
51. 王老師發現他的學生中有些人的臉型像領角鴞,他對某一具此表徵的學生進行 譜系分析,結果如下圖,圖中實心圓和實心方塊代表具領角鴞臉型的個體,根 據此譜系推論,領角鴞臉型最符合下列哪一種遺傳模式?(1 分) (A) 體染色體顯性遺傳 (B) 體染色體隱性遺傳 (C) Y 體染色體遺傳 (D) X 染色體顯性遺傳 (E) X 染色體隱性遺傳
59. 下表所列為限制酵素辨識序列及切割位置(箭頭所指),下列關於這些限制酵素 的敘述何者不正確?(1 分) (A) 若 DNA 上的鹼基隨機排列,約每 4000 個鹼基對會有一個 BamH1 限制酵 素的切割位 (B) 若 DNA 上的鹼基隨機排列,NotI 限制酵切割位頻率較其他三種限制酵素 低 (C) 人類基因組 DNA 以 NotI 切割後的 DNA 片段較大需用脈衝式電泳法分析 (D) BamH1 限制酵素切割的 DNA 無法連接到用 BglII 切割的載體 DNA 中 (E) 這四種都屬於可應用於分子選殖的第二型限制酵素
62. 在細胞中的代謝常常都是氧化還原與電子轉移的反應,例如下面兩個反應。請 問以下有關這兩個反應的描述何者為真?(2 分) 反應式 I:NAD+ + 2 H+ + 2e- → NADH + H+ 標準還原電位 Eo’ = -0.32 V 反應式 II:α-ketoglutarate + CO2 + 2 H+ + 2e- → isocitrate 標準還原電位 Eo’ = -0.38 V (α-ketoglutarate,α 酮戊二酸) (isocitrate,異檸檬酸) (A)兩個反應式都是氧化反應 (B)標準狀況下兩者都是自發反應 (C)NAD+ 比 α-ketoglutarate 容易接收電子 (D)NADH 比 isocitrate 容易釋放電子 (E)標準狀況下,反應式 I + II 整合會是一個自發反應:α-ketoglutarate +CO2 + NADH + H+ →isocitrate + NAD+
67. 研究者將一種蟾蜍(Bufo bufo)的蝌蚪,分別飼養在沒有混有捕食者氣味的箱子 (控制組),以及各混有三種蝌蚪捕食者(蠑螈、蜻蜓幼蟲和魚)氣味的飼養箱中, 接著測量蝌蚪身體某種毒液(bufadienolide)的含量。研究結果如下圖,其中 Y 軸代表每隻蝌蚪毒液含量,不同字母則代表所得到的結果在統計上有明顯的差異。(1 分) 根據結果,下列哪一個敘述或推論錯誤: (A) 接觸到捕食者氣味會增加蝌蚪分泌毒液的量 (B) 接觸到魚類氣味時,蝌蚪分泌毒液的量最高 (C) 捕食者是否為脊椎動物會影響蝌蚪分泌毒液的量 (D) 蝌蚪會分泌毒液可能是為了降低被捕食的機會 (E) 沒有捕食者氣味存在時,蝌蚪依然會分泌毒液
第 77 題 研究人員將兩種青蛙的蝌蚪(豹蛙 leopard frog、灰樹蛙 grey tree frog)放置在三種狀 況下飼養(每種青蛙每種狀況各放 30 隻):(1)沒有和捕食者蜻蜓幼蟲一起養(下圖代 號 NP);(2)和蜻蜓幼蟲一起養,但蜻蜓幼蟲被關在網籠中,無法吃到蝌蚪,但蝌 蚪聞得到蜻蜓幼蟲的氣味(下圖代號 CP);(3)和蜻蜓幼蟲一起養,且蜻蜓幼蟲可以 自由活動吃到蝌蚪,蝌蚪也聞得到蜻蜓幼蟲的氣味(下圖代號 LP)。研究人員同時 讓蝌蚪有機會感染一種病毒(ranavirus),這種病毒主要藉由蝌蚪彼此接觸所傳染。 最後再比較不同條件下,有多少隻蝌蚪有感染到病毒。研究結果如下圖,其中 Y 軸代表感染病毒的比例(感染率=被感染個體數/所有個體數)。(2 分)77.根據結果,下列哪一個敘述或推論錯誤: (A) 灰樹蛙較豹蛙容易受到 ranavirus 病毒的感染 (B) 蜻蜓幼蟲的捕食,會大幅度降低蝌蚪的感染率 (C) 接續B,這現象可能和蝌蚪的數量變少,密度降低有關 (D) 捕食者氣味對於蝌蚪感染率的影響,和捕食者捕食對於蝌蚪感染率的影響, 差異不大 (E) 捕食者的存在,可以降低獵物感染疾病的比例