所屬科目:研究所、轉學考(插大)◆線性代數
2. (a) If A is a 3 × 3 matrix has the determinant det(A) = -5, then what is det and det ?
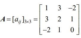
(c) 8% For the matrix , find the value of , where is the cofactor of entry
3. For , find the reduced row echelon form of A and verify the dimension theorem for matrices.
4. Find the eigenvalues and eigenvectors of the matrix . Is A diagonalizable? And find the Jordan form of A.