所屬科目:高中◆資優◆數學
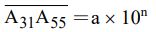
1. 在數線上,已知兩點,今將 分成100等分,由左而右得到99個等分點A1、A2、A3、…、。若 ,其中1 ≤ a<10,n為整數,則數對(a,n)=_____。
2. 已知a、b、c三數均不為0且 。若a+b+c=3,則 的值=_____。
3. 有一瓶可樂連瓶子重1000公克,若喝掉這瓶可樂的一部分後,剩下的可樂連瓶子共重400公克,假設喝掉的這部分佔全部可樂(不含瓶子)的比例為x,且 。如果瓶子的重量為y公克且a<y<b,則數對(a,b)=_____。
5. 若平行四邊形ABCD的面積為4,M、N分別是 的中點,且G為△AMN的重心,則△GMN的面積=_____。
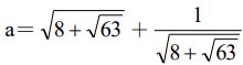
6. 若 =a+b,其中a為正整數,0<b<1,則a的值=_____。
8. 已知△ABC為一等腰直角三角形,∠ABC為直角,D為 的中點, ,E在 上,D1為 的交點, ,E1在 上,D2為 的交點。若 =r,則正數r的值=_____。
9. 若 且 ,則正整數 n 的值=_____。
10. 三邊長皆為整數之三角形,我們稱為 Diophantus 三角形。令 表示最大邊長為 n 的 Diophantus 三角形之個數,例如,a1=1,a2=2,a3=4,試問=_____。
11. 已知數列a1 ,a2 ,a3 ,…, ,…的每一項都是正數,它的任意相鄰3項都滿足, 其中k是正整數。若a4=4,a9=9,則第15項=_____。
12. 試問:+402 除以+1 的餘數=_____。
13. 已知等腰梯形ABCD中, , 長。若 =10, =11,且 的長均為正整數,則 的長=_____。
15. 在直角坐標平面上有5個點A(2,0)、B(6,0)、C(0,3)、D(0,5)、P(s,t),若 有最小值,則此時數對 (s,t)=_____。
16. 在△ABC中, 長, 垂直於H點,∠BAC的角平分線交於D點,M是 的中點。若 =12, =13, =15,則 的長=_____。