所屬科目:研究所、轉學考(插大)-近代物理學
(a) (4%)Please show that the molecular energy distribution is with an energy (E), where kB is the Boltzmann constant and T is the temperature. Assume the total number of the gas particles is N in a volume of V.
(b) (4 %) Please show that the average energyis
(c) (14%) Express the Boltzmann distribution in terms of speed and show that the most probable speed (v) is the root-mean square speedHint: you may need
(b) (8%) Now we have the wavefunctions in this quantum well system as follows: Please show that
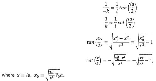
(c) (14%) By dividing Eq. (1) by Eq. (3) and dividing Eq. (2) by Eq. (4), please show that Then plot tanvs.x Also show that there always exists at least one quantum subband in this finite quantum well. tan()=
(a) (6%) concentration of ionized donors
(a) (6%) Please plot the ideal band diagram of the Al-5i M-S junction and mark the Fermi level EF, the Schottky barrier height , and built-in potential barrier at equilibrium.
(a) (5%) What is the Flat-Band voltage of this MOSFET without considering trapped charge effects (i.e. Qss = 0)?
(c) (5 %) What is the threshold voltage of this n-MOSFET?
(d) (5 %) If Si substrate is biased under 10 V. Please calculate the △VT.