所屬科目:船用電學與自動控制概要
二、某電路的電源為三相平衡 ABC 相序,若已知電壓表讀數 Vm=230 V(均 方根植) 、功率計讀數 Wm=−200 W。 、電流表讀數 Am=15 A(均方根植) 請問負載吸收的三相總實功率與無功率為多少?(25 分)
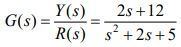
三、假設某系統的轉移函數為 求系統的脈衝響應 g(t)。(25 分)
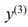
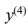
四、考慮某一線性系統的微分方程式為 , 其中,u 是輸入而 y 是輸出,是 y 的四階導數,是 y 的三階導數。 請問該系統穩定嗎?需詳細證明答案的合理性。(25 分)