所屬科目:一二三等大管輪◆輪機工程與主機
1. 請選出正確卡諾循環效率(η)的公式?(T1:熱源加熱溫度;T2:熱庫排熱溫度)(A) (B) (C) (D)
2. 當動能與位能的改變均可忽略,可得壓縮機功之方程式為何?(P:壓力;V:容積;T:溫度)(A)(B) (C) (D)
9.由圖10-4所示,船舶之動穩度為何 ? (A)動穩度=W✕(B'Z-BG) (B)動穩度=W✕(BZ-BG) (C)動穩度=W✕(B'G+BG✕cosθ-BG) (D)動穩度=W✕(B'G+BG✕cosθ+BG)
12.由圖10-7所示,船舶於穩定狀態圖中何處之傾側力矩等於扶正力矩 ? (A) (B) (C) (D)
14.有關磁力線探傷的特性,下列敘述何者較正確? (A)缺陷表面與磁力線垂直時最易探傷 (B)缺陷表面與磁力線平行時最易探傷 (C)缺陷表面與磁力線成45°時最易探傷 (D)缺陷表面與磁力線方向無關
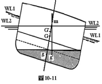
15. 由圖10-11所示,自由液面效應,會造成下列何者現象?(ρ1為液體比重,ρ0船舶外液體之比重,V為船舶之排水體積,i為液艙櫃自由液面對船體中線之慣性矩 ) (A)順時重心由g1移至g (B)船舶重心由G移至G' (C)船舶重心由G' 移至G (D)GG'=(ρ1/ρo).(V/i)
21. 1公分立方體的相對兩面間,假定有1℃的溫度差時,在1秒內由高溫面移動到低溫面 的熱量叫做: (A)導熱度 (B)熱傳導率 (C)比熱比 (D)熱傳遞
28.若ω為角速度,γ為有效旋轉半徑,為水之比重, 為油之比重,d為油珠和水珠的直徑,則由高轉速離心力所產生的分離力量,可用下列 何公式表示之? (A) (B) (C) (D)
29. 設燃油之化學式為,則完全燃燒之化學反應式為,則式中之( C )應為下列何者?(A) (B)m (C)n+m/4 (D)m/2
35.關於潤滑油的描述何者有誤? (A)黏度過小的潤滑油,較容易洩漏 (B)黏度小者不能對 抗荷重生成壓力油膜,金屬磨擦面間接觸較大 (C)黏度小則增加磨耗,易發熱而燒焦 (D)潤滑油中如有燃油滲漏若年度超過原值±10%則需更換新油
44.當流體流經細腰噴嘴,由入口至A點之壓力與速度變化,何者正確 ? (A)壓力上升,速度上升 (B)壓力上升,速度下降 (C)壓力下降,速度上升 (D)壓力下降 ,速度下降
45.在冷媒之壓力焓圖中,曲線B為下列何者 ? (A)飽和汽體線 (B)飽和液體線 (C)等壓線 (D)等焓線