所屬科目:教甄◆冷凍空調科
8. 如右下圖,一R134a冷凍系統之莫里爾曲線,過熱度為10℃、過冷度為5℃。已知 h1=407.32 kJ/kg、h2=434.61 kJ/kg、h3=h4=249.08 kJ/kg,壓縮機之壓縮效率ηc=0.65、 機械效率ηm=0.6,求該系統之 COP?
(A) 1.9 (B) 2.1 (C) 2.3 (D) 2.5
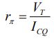
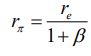
11. 下列有關BJT電晶體小信號等效輸入電阻r π與 er 之敘述,何者正確? (A) (B) (C) (D) re > rπ
12. 已知單級放大電路之上截止頻率f n 為200kHz,若將相同之單級放大電路串接成二 級放大電路,則上截止頻率 約為何? (A) 64kHz (B) 102kHz (C) 128kHz (D) 313kHz
13. 若本質半導體的本質濃度為,當半導體同時摻雜「磷」原子濃度為 ,「鎵」原子,以及摻雜「砷」原子,則摻雜之 後的電洞濃度p為何? (A) (B)(C) (D)
14. 如圖所示的稽納穩壓電路中,採用VZ =10V,功率 =400mW規格的稽納二極 體(Zener Diode),在此電路正常穩壓情況下, RL電阻值上限為多少? (A) 300Ω (B) 500Ω (C) 1kΩ (D) 2 kΩ
15. 設 ,則此信號波形因數F.F.為 何? (A) (B) (C) (D)
16. 如圖下所示, V,若n1:n2:n3 = 4:2:1,則Vo 頻率 為何? (A)30Hz (B)60Hz (C)120Hz (D)0Hz
17. 承上題, V,若n1:n2:n3 = 4:2:1, D2 PIV多少? (A) 100V (B) 50V (C) V (D) V