所屬科目:機械設計
一、如下圖所示,長度 L = 300 mm 之實心圓柱的鑄鐵懸臂樑,在自由端同時 受到扭矩 T = 680 N-m 及橫向負荷 P = 750 N 作用。若鑄鐵的抗拉極限強 度 = 350 MPa,抗壓極限強度 = 630 MPa,設計之安全係數 n = 2.5。 根據最大正應力理論之設計準則,求該圓柱之直徑 D。
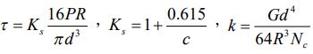
三、有一外徑 = 30 mm 之螺旋壓縮彈簧,由直徑 d = 3 mm 的鋼線所製成, 鋼線的剪力模數 G = 79 GPa ,剪力降伏強度 S sy = 848 MPa ,彈簧的兩端 簡單磨平(plain ground ends,總計無效圈數為 1 圈) ,總圈數為 12 圈。 若彈簧被壓縮至壓實長度(solid length)時,彈簧內的剪應力不可超過鋼線的剪力降伏強度,試分析所容許之彈簧最大自由長度。
四、如下圖所示,一長方形鋼板於上下側以兩道填角銲(fillet welds)接合於 一垂直基座上,鋼板的厚度為 20 mm。兩銲道長度均為 50 mm,銲腳 (leg)尺寸為 8 mm。銲接後鋼板形成一懸臂結構,於自由端受一向下之 負載 F,若銲接處的容許剪應力= 140 MPa ,求容許之最大負載 F。