所屬科目:數學
3.已知a3 − a − 1 = 0,且滿足方程式,其中f(x)為首項係數為 1的整係數多項式。試求滿足此條件的次數最低的多項式f(x)。
5.假設p(x)為 2024 次實係數多項式,且對k = 0,1,2,3, … ,2024,均有 ,試求p(2025)之值。
6.假設,試求b32之值。
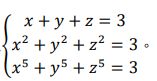
9.試解方程組。
10. 已知k為正整數,k! = 1 × 2 × 3 × … × k。假設?(x)為 2024 次實係數多項式,且對k = 0,1,2,3, … ,2024,p(k) =,試求p(2025)之值。
11. 試求滿足的所有正實數x的整數部分之和。
12. 已知函數p(x)在(0, ∞)上為嚴格遞減。對任意x ∈ (0, ∞),均有。若g(x) = p(x) + 4x2, 試求函數g(x)的最小值。
13. 若複數z滿足為負實數,為純虛數,試求複數z的絕對值。
17. 已知方程式x 3 − 9x 2 + 8x + 2 = 0的三根分別為p, q, r,試求之值。
19. 假設p(x) = x 3 + 3(x 2 + x + sin πx),試求p(1 − π) + p(π − 3)之值。
20. 已知函數p(x)滿足:對任意非零實數x,均有,試求p(x)在(0, ∞)上的最小值。