所屬科目:A.電工原理、B.電子概論
2. 如圖【1】所示之理想中心抽頭式全波整流電路,AC電源接於110V之市電,若變壓器之電壓規格:一次側為120V,二次側為0-12-24V。電阻R為1kΩ,則輸出電壓之峰值為何? (A) (B)(C) (D)
8. 如圖【2】所示之電路,若BJT之β=100,=0.7V, 則約為何?(A) 4.4V (B) 5.5V (C) 6.9V (D) 8.7V
9. NPN型電晶體於主動區工作時,其三接腳(B、C及E)電壓()之大小關係, 下列何者正確? (A) (B)(C) (D)
12. 如圖【3】所示之電路,=0.7V,β=150,=15V,=12kΩ ,=1kΩ,調整=4.2mA,則此時之值約為何?(A) 395kΩ (B) 360kΩ (C) 330kΩ (D) 312kΩ
13. 如圖【4】所示電路,為負載,BJT操作於主動區且電壓增益Av=vo / vi,下列敘述何者正確?(A) S閉合或斷開時,電壓增益絕對值相同 (B) S斷開時,由集極端看出去的交流負載電阻為 (C) S斷開時,電壓增益絕對值較小 (D) S閉合時,電壓增益絕對值較小
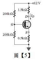
17. 如圖【5】所示之電路,若MOSFET之=2mA,臨界電壓Vt=2V, 則其參數K約為多少mA/V2?(A) 0.22 (B) 0.31 (C) 0.42 (D) 0.54
18. 如圖【6】所示電路,Q1是哪一類型的MOSFET? (A) N通道空乏型 (B) P通道空乏型 (C) N通道增強型 (D) P通道增強型
20. 下列有關基本邏輯IC中的TTL與CMOS描述,何者不正確? (A)74LS00為TTL的IC,4001為CMOS的IC (B)當CMOS的電源電壓()為+5V,且接地電壓()為0V時,其邏輯『0』的低準 位輸入電壓()範圍為0V至1.5V (C)當CMOS的電源電壓()為+5V,且接地電壓()為0V時,其邏輯『1』的高準位輸入電壓()範圍為3.5V至5V (D)CMOS的IC不易受雜訊干擾,所以未用的輸入端可空接,不會影響正常運作
21. 下列對CMOS的敘述,何者錯誤? (A)CMOS的一般工作電壓約為3 ∼ 15V (B)CMOS的扇出(Fan Out)數很高 (C)CMOS NOR閘,部分不用的輸入端最好接到端 (D)CMOS的傳輸延遲時間比TTL長
22. 如圖【7】所示之電路,若=15V,R1=R3=10kΩ, R2=R4=20kΩ,V1=8V,V2=5V,則Vo為何?(A)-6V (B)-3V (C)+3V (D)+6V
28. 有一波形v(t)=,則其屬於何種波形? (A)脈動直流 (B)純直流 (C)交流電 (D)純交流
34. 電壓v(t)=,則其有效值與平均值之比值()約為何? (A) 1.67 (B) 1.34 (C) 1.41 (D) 1.11
39. 如圖【8】所示之理想稽納(Zener)二極體電路,若 Vs = 18V ,則該電路之稽納二極體功率規格至少應為何? (A) 225mW (B) 180mW (C) 170mW (D) 130Mw
42. 試問下圖【9】為何種電子元件?(A) NPN電晶體 (B) PNP電晶體 (C) MOSFET (D) P-N二極體
50. 如圖【10】所示為555之無穩態多諧振盪電路, 試問充電路徑包含哪幾個元件? (A) R2及C (B) C (C) R1及R2 (D) R1及R2及C