所屬科目:教甄◆化學專業/化工科
1. 將 5 克的某液態化合物置於一 8.2 升體積固定的密閉真空容器中加熱,容器內氣體壓力隨溫度的變化如附圖所示,則下列相關敘述何者錯誤?
(A)此化合物之分子量為 66 (B)甲、乙、丙、丁、戊五點氣體的莫耳數大小為 丙=丁=戊>乙>甲 (C)乙點和甲點的氣體莫耳數比為 3:2 (D)乙點和丁點的氣體莫耳數比為33:50。
5. 下列五種羧酸化合物,其酸性由強到弱的順序,何者正確?(A) e > d > b > a > c (B) b > a > d > e > c (C) b > c > d > a > e (D) b > e > d > a > c。
12. 在 Na3PO4 的水溶液中,通入 HCl 氣體,當 pH=4 時,則溶液中何種粒子的濃度最 大?(H3PO4 之 Ka1=7.1✕10-3、Ka2=6.3✕10-8、Ka3=4.4✕10-13) (A)H3PO4 (B)H2PO4 - (C)HPO4 2- (D)PO4 3-。
15. 如下圖,已知 Zn-Zn2+、Ag-Ag+、Cr-Cr3+、Sn-Sn2+ 之 E°值依次為 0.76 V、 -0.8 V、0.74 V、0.14 V。下列敘述那些正確?
(A) Cr 極為負極 (B)此裝置標準狀態下的電壓為 0.96 V (C)若將 Na2S 加入 Sn 半電池中,電壓變小 (D) Cr 半電池之反應為 Cr3++3e- → Cr(s)。
16. 甲溶液含陽離子 A 濃度 0.10 M,乙溶液含陰離子 B 濃度 0.20 M。取不同體積之甲、 乙溶液混合得沉澱,其實驗結果,以沉澱物毫莫耳數為縱坐標,以甲、乙體積為橫 坐標,繪圖得下列關係圖,則下列敘述哪些正確?(A)此沉澱實驗式為 AB (B) P 點的 [An+ ]=8 × 10-3 M (C)此沉澱物在純水中的溶解度為 2 × 10-3 M (D)此沉澱之溶解度積常數為 3.2 × 10-8。
18. 室溫時,取 0.1 M CH3COOH(Ka=2 × 10-5)水溶液 10 毫升,若對這個溶液分別作 如下各項處理,下列敘述何者正確?(設體積有加成性,溶液維持室溫) (A)加入 10 毫升純水後,[H+ ] 變為原本的倍 (B)加入 10 毫升 0.1 M HCl(aq) 後, [H+ ] 約為 0.1 M (C)加入 10 毫升 0.1 M CH3COOH(aq) 後,[H+ ] 不變 (D)溶入 1 毫 莫耳 CH3COONa(s) 後,pH 值變為 4.7 。
19. 在有機分子中,若某個碳原子連接著四個不同的原子或原子團,我們便稱這種碳原子為「掌性碳原子」(或「手性碳原子」),凡是具有一個「掌性碳原子」的有機分子 一定具有光學活性。例如附圖所示的有機分子有光學活性。
若該有機分子分別發生下列反應,得到的產物不具有光學活性的是: (A)與乙醯氯發生酯化反應 (B)與氫氧化鈉水溶液共熱 (C)與多侖試劑反應 (D)與酸性過錳酸鉀溶液反應。
20. 若某反應,k1 為正反應速率常數、k2 為逆反應速率常數、K 為平衡常數,若施予下列變因時,k1、k2、K 分別變為 mk1、nk2、rK,則下列敘述哪些 正確? (A)體積縮小:m=n>r=1 (B)定溫、定壓下加入 He:m=n=1、r=1 (C)增加 A(g) 的濃度:m>1、n=1、r>1 (D)定容下加熱:n>m>1、r<1。
4.兩個等體積玻璃瓶用細管相連接(細管體積忽略不計),如右圖所示。最初兩球溫度皆為 27 ℃ 時,瓶內共有 2 莫耳氫氣,壓力為 1atm。現將左邊的玻璃球浸入 177℃的恆溫槽(油浴)中,而另一 球仍維持 27 ℃,最後再次達平衡時,壓力為__________。
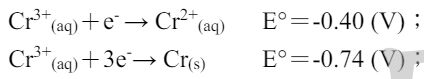
7.已知下列半反應標準電位
求反應 Cr(s)→ Cr2+(aq)+2e- 的 E°為多少 (V)? (7) ______。
1.凱庫勒(Kekulé)在 1865 年是第一個提出苯(C6H6)合理結構的有機化學家,苯結構中碳原子被 排列成六角平面,他主張應調整分子中的單鍵和雙鍵,使每一個碳原子皆連接一個氫原子,如下圖一所示。然而後續許多的科學證據反駁了此主張。舉例來說,環己烯室溫下可進行加成反應使溴水褪色,但苯卻無法進行加成,反而常進行取代反應。於是科學家鮑林(Pauling)在 1928 年提出共振的概念,如下圖二所示,他指出在苯環中的 π 電子並不侷限於兩個碳原子之間,而是由還原態(無色) 氧化態(紫紅色) 6 個碳原子平均共用,稱之為未定域(Delocalized) π 電子。此未定域 π 電子將使斥力降低,所以苯環結構更安定。
(2)二苯胺磺酸根作為指示劑的變色反應如下,試平衡此半反應方程式。(2 分)
8.已知阿瑞尼士方程式(Arrhenius equation )為:k=Ae-Ea/RT,其中 k 為反應速率常數,A 為指數前因 子,Ea 為活化能,R 為氣體常數,T 為絕對溫度。已知 2HI(g)→H2(g)+I2(g),無催化劑時 k 與溫度 (T)之關係如圖三:試求此反應之活化能(Ea) (kcal/mol)約為多少? (至小數點後一位, R=1.987cal·K−1 ·mol−1 )。(4 分)
9.圖四為 Na2CO3 與 NaOH 之混合溶液 20 mL,被 0.1 M HCl 滴定的曲線。V1=14 mL、V2=22 mL, 則混合溶液 250 mL 中含 Na2CO3 與 NaOH 各為若干 g?(Na=23)。(4 分)