阿摩線上測驗
登入
首頁
>
普通高中學力鑑定-自然
> 113年 - 113 自學進修普通型高級中等學校畢業程度學力鑑定考試試題:自然#123234
113年 - 113 自學進修普通型高級中等學校畢業程度學力鑑定考試試題:自然#123234
科目:
普通高中學力鑑定-自然 |
年份:
113年 |
選擇題數:
40 |
申論題數:
0
試卷資訊
所屬科目:
普通高中學力鑑定-自然
選擇題 (40)
1. 原子核中的質子與質子間,沒有下列哪一種基本交互作用力? (A)重力 (B)電磁力 (C)強力 (D)弱力
2. 1 毫米(mm)等於多少公尺(m)? (A)1/1000 (B)1000 (C)1/10000 (D)10000
3. 有一火車正要離開車站,先以幾乎固定的加速度增加速度,後來維持等速度 運動。下列速度(v)對時間(t)關係圖,何者最適合用來表示火車的運動狀態?(A)
(B)
(C)
(D)
4. 克卜勒第一定律描述: 行星繞日的軌道為何? (A)拋物線 (B)雙曲線 (C)圓 (D)橢圓
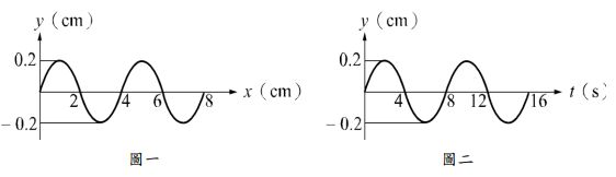
5. 一週期波在細弦上傳播時,已知某時刻波形如圖(一)所示;細弦上某定點的 振動距離(y)與時間(t)的關係,如圖(二)所示,則下列關於此週期波的 敘述何者錯誤?
(A)波長為 4 公分 (B)振幅為 0.4 公分 (C)頻率為 0.125 赫茲 (D)此波在細弦上的傳播速率為 0.5 公分∕秒。
6. 一個重量為 100 牛頓的物體置於水平桌面上以一水平拉力拉它,恰可使之 移動的拉力為 30 牛頓,則當拉力為 20 牛頓時,此物體與桌面之間的摩擦 力為多少牛頓? (A) 100 (B) 30 (C) 20 (D) 10
7. 下列有關「光電效應現象」的敘述,何者正確? (A) 若入射光之頻率高於底限頻率,光強度越強,光電子數目越多 (B) 即使入射光之頻率低於底限頻率,只要光強度夠大一定會產生光電子 (C) 光電子的動能與入射光的強度成正比 (D) 即使入射光之頻率高於底限頻率,若光強度小於一定值,則不會產生 光電子
8. 拉塞福在 1919 年以 α 粒子( He 42)撞擊氮原子核( N147),產生核反應。若該 反應產生的兩種粒子,有一為氧原子( O178),則另一粒子為何? (A)電子 (B)質子 (C)中子 (D)鈹粒子核( Be 93)
9. 現代生活中常用到一些電氣用品與裝置,它們在沒有直接與電源連接下,可 利用電磁感應產生的電流發揮功能。下列有關電磁感應的敘述,何者正確? (A)發電機可以利用電磁感應原理將力學能轉換為電能 (B)電磁感應現象是丹麥科學家厄斯特最先發現的 (C)電氣用品中引起電磁感應的電源電路,必須先將交流電轉換成直流電後, 才能產生感應電流 (D)手機充電使用 USB 的變壓器,是利用導線粗細原理降低電壓
10. 有關波動與粒子的二象性,下列敘述何者錯誤? (A)光電效應證實了光具有粒子性 (B)光和物質均具有波動與粒子的二象性 (C)電子在適當的情況下可同時顯現出波動性和粒子性 (D)高速的電子入射晶體會有繞射現象,證明電子具有波動性
11. 在某溫度時,於 2 L 容器中,X、Y、Z 三種物質的 莫耳數(n)隨時間(t)變化曲線如右圖所示。則該反應之反應式為何?
(A) X+2Y→3Z (B) 2X+3Y→Z (C) X+3Y→2Z (D) 7X+9Y→2Z
12. 欲由 1.00 M 的氯化鈉水溶液稀釋成 0.1 M 的 100 毫升溶液,所需儀器組合為何? (A)
(B)
(C)
(D)
13. 由大而小排列出下列四種 25℃、同濃度水溶液的 pH 值順序,正確者為 何? (甲) 0.1 M 鹽酸 (乙) 0.1 M 食鹽水溶液 (丙) 0.1 M 氫氧化鈉水溶液 (丁) 0.1 M 醋酸水溶液 (A) 丙>乙>丁>甲 (B) 丙>乙>甲>丁 (C) 丁>甲>乙>丙 (D)甲>丁>乙>丙。
14. 下列何者的價電子數與
6
C 的價電子數相同? (A)
16
S (B)
14
Si (C)
10
Ne (D)
3
Li
15. 下列哪一種物質屬於共價網狀固體? (A) C
2
H
5
OH (B) CH
4
(C) SiO
2
(D) CCl
4
16. 下列有關混合物分離所採用的主要方法,何者是適當的? (A) 緩慢加熱甘蔗汁,使水分蒸發可得蔗糖 ─ 結晶法 (B) 由摻雜泥沙的食鹽水中,將泥沙分離 ─ 萃取法 (C) 將玫瑰花瓣隔水加熱,其蒸氣冷凝後得到玫瑰晶露與玫瑰精油 ─ 層析法 (D) 將橄欖榨取後的殘渣和橄欖油分離 ─ 蒸餾法。
17. 肥皂與清潔劑是日常生活不可缺少的清潔用品,下列有關肥皂和清潔劑的 敘述何者正確? (A)動物油脂用弱鹼水解可得肥皂,故肥皂為弱鹼性 (B)清潔劑中常添加磷酸鹽,磷酸鹽流入河川會抑制藻類生長 (C)軟性清潔劑的長碳鏈有較多的支鏈,易被微生物分解 (D)肥皂分子較易與硬水作用產生沉澱
18. 某寶特瓶裝烏龍茶飲每罐 500mL,其咖啡因濃度為 160ppm,假設此烏龍茶 密度為 1(g/mL),試問此烏龍茶飲含有咖啡因多少毫克? (A)80 (B)160 (C)320 (D)40 毫克。
19. 下列何者不是週期表中第四週期元素? (A) Cu (B) Zn (C) K (D) Si
20. 下列何者為氧化還原反應? (A)碳酸鈣與鹽酸混合 (B)金屬鉀投入水中 (C)硫酸鈉溶液與氯化鋇反應 (D)硝酸銀溶液與氯化鈉溶液混合
21. RNA 分子中不具有下列哪一種鹼基? (A)胞嘧啶 C (B)胸腺嘧啶 T (C)尿嘧啶 U (D)腺嘌呤 A
22. 下列有關葉綠體的敘述,哪一個錯誤? (A)基質含有多種光合作用所需的酵素 (B)類囊體是合成葡萄糖的主要場所 (C)葉綠餅是由數個類囊體所組成 (D)為雙層膜構造,且內含由膜構成的類囊體
23. 下列哪一個是拉馬克與達爾文演化理論的共同點? (A)能以同源構造重建生物間的親緣關係 (B)環境會促進生物產生變異 (C)物種會隨時間而可能產生改變 (D)生物具有共同祖先
24. 蝙蝠和鯨魚的前肢骨骼形式相似,可推測兩者應有共同祖先,此為下列何 種演化證據? (A)化石證據 (B)生物地理學證據 (C)分子生物學證據 (D)解剖學證據
25. 附圖甲~戊為人體內與消化有關的器官,關於這些構造參與的消化作用的敘述,何者正確?
(A)戊分泌的消化液含有多種消化酶 (B)丙消化道內含有多種弱酸性消化液 (C)丁分泌的消化酶主要用以消化醣類 (D)甲和乙主要參與蛋白質消化
26. 已知血友病的基因是位在 X 染色體上的隱性等位基因,小公主安娜患有血 友病,在不考慮突變的情況下,下列何者敘述最合理? (A)安娜的母親一定有血友病 (B)安娜的父親一定有血友病 (C)安娜的兄弟一定有血友病 (D)安娜的姊妹一定有血友病
27. 下列有關人類 ABO 血型遺傳的敘述,何者正確? (A)A 型的父親與 B 型的母親不可能生出 O 型的小孩 (B)血型 AB 者,紅血球表面同時有 A、B 抗原,為中間型遺傳 (C)血型性狀由 I A、I B、i 等位基因控制,為多基因遺傳 (D)ABO 血型的遺傳方式符合孟德爾的分離率
28. 生物的遺傳特徵之改變,其主要原因為何? (A)天擇 (B)人擇 (C)突變和有性生殖 (D)生存競爭
29. 附圖為人體血液循環示意圖,圖中甲、乙、丙、丁分別為血管,根據圖示代號,哪一條血管是動脈且其血液中所含氧氣很高?
(A)甲 (B)乙 (C)丙 (D)丁
30. 有關類固醇激素的敘述,下列何者正確? (A)可進入細胞核中,刺激目標基因的轉錄作用 (B)由膽固醇衍生而成的生長激素屬於此類激素 (C)第二傳訊者須參與此類激素對生理的調節作用 (D)需與細胞膜上受體結合,才可進入細胞中
31. 關於 STEM 教育的描述,S 為 Science 的縮寫,代表科學,T 是 Technology 縮寫,代表科技,E 是 Engineering 縮寫,代表工程,M 是什麼英文單字的 縮寫?代表什麼意義? (A) M 是 Mail 縮寫,代表郵件 (B) M 是 Make 縮寫,代表製造 (C) M 是 Management 縮寫,代表管理 (D) M 是 Mathematics 縮寫,代表數學
32. 建築常用的簡易桁架結構,是以哪種幾何圖形為單元體? (A)圓形 (B)三角形 (C)正方形 (D)五邊形
33. Arduino UNO 開發板常會用來控制 LED 燈閃 爍,右圖的程式碼可控制 LED 燈閃爍亮、暗各幾秒呢?
(A)亮 0.1 秒、暗 0.05 秒 (B)亮 1 秒、暗 0.5 秒 (C)亮 10 秒、暗 5 秒 (D)亮 1000 秒、暗 500 秒
34. 下列何種馬達是一種可以與脈衝訊號同步準確地控制旋轉角度和轉速,可 用開迴路控制方式來進行精密的定位控制? (A)步進馬達 (B)感應馬達 (C)同步馬達 (D)直流馬達
35. 利用電腦繪圖軟體來進行設計並且驗證,指的是哪一項技術? (A) VR (B) CAM (C)CAD (D) CIS
36. 許多住宅建案標榜使用「SRC 結構」,何謂 SRC? (A)鋼骨結構 (B)木質結構 (C)鋼筋混凝土 (D)鋼骨鋼筋混凝土
37. 工程設計流程是一種系統化的思考方式,請問以下步驟的順序應為何? (甲)蒐集資料(乙)界定問題(丙)發展方案(丁)測試與評估(戊)最佳化 (A)甲→乙→丙→丁→戊 (B)甲→乙→丙→戊→丁 (C)乙→甲→丙→丁→戊 (D)乙→甲→丙→戊→丁
38. 結構物在受到外力作用時,內部會有一反作用力稱為「內力」,下列何者不是內力? (A)剪力 (B)彎矩 (C)扭矩 (D)抗力
39. 關於常見的機構「凸輪機構」,下列描述何者錯誤? (A)凸輪機構是將往復的直線運動轉換成旋轉運動 (B)許多玩具都會使用凸輪機構讓零件可以上下移動 (C)凸輪機構的構成包含主動件與從動件 (D)凸輪應用範圍很廣,例如內燃機、CNC 銑床、印刷機、紡織機
40. 四環碳膜電阻色環分別為「綠藍黃金」請問電阻值為多少? (A)56kΩ±5% (B)560kΩ±5% (C)560Ω±5% (D)5.6kΩ±5%
申論題 (0)
相關試卷
114年 - 114 自學進修普通型高級中等學校畢業程度學力鑑定考試試題:自然#137286
114年 · #137286
112年 - 112 自學進修普通型高級中等學校畢業程度學力鑑定考試試題:自然科#116773
112年 · #116773
111年 - 111 自學進修普通型高級中等學校畢業程度學力鑑定考試:自然#111059
111年 · #111059
110年 - 110 自學進修普通型高級中等學校畢業程度學力鑑定考試:自然#103061
110年 · #103061
109年 - 109 自學進修普通型高級中等學校畢業程度學力鑑定考試:自然#93956
109年 · #93956
108年 - 108 自學進修普通型高級中等學校畢業程度學力鑑定考試:自然#79728
108年 · #79728
107年 - 107 自學進修普通型高級中等學校畢業程度學力鑑定考試:自然#79115
107年 · #79115
106年 - 106 自學進修普通型高級中等學校畢業程度學力鑑定考試:自然#66395
106年 · #66395
105年 - 105 自學進修普通型高級中等學校畢業程度學力鑑定考試:自然#64844
105年 · #64844
104年 - 104 自學進修普通型高級中等學校畢業程度學力鑑定考試:自然#57376
104年 · #57376