所屬科目:電力系統
一、圖一為一個三相平衡電路,電源為正相序經輸電線(line)饋電於三個並聯負載,假設負載端 a 相的線對中性點電壓相量為 2600∠0°V ,試計算 a 相電流相量以及 a 相與 b 相間之線電壓相量 。(25 分)
(一)求移除一個變壓器後的每個線電流相量。(12 分)
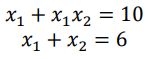
(一)假設x1和x2的初始值皆為 1,使用 Gauss-Seidel 方法執行兩次疊代來解下列方程式組。(10 分)
(二)假設x1和x2的初始值皆為 1,使用 Newton-Raphson 方法執行兩次疊代來解下列方程式組。(15 分)