所屬科目:技檢◆輸電地下電纜裝修-乙級
1.國內輸電用161kV交連PE電纜採用遮水層做為第二道防水保護,其位置設計為(A)導體上層(B)被覆下層(C)銅線遮蔽層下層(D)絕緣體下層。
2.作業場所高頻率噪音較易導致下列何種症狀?(A)肺部疾病(B)失眠(C)腕道症候群(D)聽力損失。
3.電流通過導線時所生磁力線的方向,可由(A)安培左手定則(B)安培右手定則(C)佛萊銘左手定則(D)佛萊銘右手定則。
4.大雄擔任公司部門主管,代表公司向公務機關投標,為使公司順利取得標案,可以向公務機關的採購人員為以下何種行為?(A)為社交禮俗需要,贈送價值昂貴的名牌手錶作為見面禮(B)為與公務機關間有良好互動,招待至有女陪侍場所飲宴(C)為避免報價錯誤,要求提供底價作為參考(D)為了解招標文件內容,提出招標文件疑義並請說明。
5.一般高阻計較適合量(A)絕緣電阻(B)電動機繞組電阻(C)接觸電阻(D)接地電阻。
6.旋緊電纜接續匣銅管法蘭之固定螺栓,其順序位置通常為(A)順時鐘方向(B)隨意(C)反時鐘方向(D)對角方向。
7.交連PE電纜接續作業中操作砂帶機時(A)需戴口罩及護目鏡(B)僅需戴護目鏡(C)不需戴口罩及護目鏡(D)僅需戴口罩。
8.行(受)賄罪成立要素之一為具有對價關係,而作為公務員職務之對價有「賄賂」或「不正利益」,下列何者「不」屬於「賄賂」或「不正利益」?(A)免除債務(B)送百貨公司大額禮券(C)開工邀請公務員觀禮(D)招待吃米其林等級之高檔大餐。
9.下列何者不屬於局限空間內作業場所應採取之缺氧、中毒等危害預防措施?(A)測定氧氣、危險物、有害物濃度(B)實施通風換氣(C)使用柴油內燃機發電提供照明(D)進入作業許可程序。
10.電熱器之電熱線若剪短一些時,則消耗功率(A)增加(B)不變(C)為0(D)減少。
11.大氣層中臭氧層有何作用?(A)對流最旺盛的區域(B)保持溫度(C)造成光害(D)吸收紫外線。
12.若把變壓器一次線圈匝數增加,則二次側兩端電壓將(A)先升高後降低(B)降低(C)升高(D)先降低後升高。
13.有關著作權的下列敘述何者錯誤?(A)將補習班老師的上課內容錄音檔,放到網路上拍賣,會構成侵害著作權(B)撰寫碩博士論文時,在合理範圍內引用他人的著作,只要註明出處,不會構成侵害著作權(C)在網路的部落格看到一篇文章很棒,只要註明出處,就可以把文章複製在自己的部落格(D)在網路散布盜版光碟,不管有沒有營利,會構成侵害著作權。
14.勞工若面臨長期工作負荷壓力及工作疲勞累積,沒有獲得適當休息及充足睡眠,便可能影響體能及精神狀態,甚而較易促發下列何種疾病?(A)肺水腫(B)腦心血管疾病(C)皮膚癌(D)多發性神經病變。
15.工作梯靠壁放置供人員上下時,其梯子之傾斜角度應與地面應成(A)55(B)65(C)45(D)75度以內方符合工安規定。
16.交連PE電纜之接續作業中剝離被覆之長度,與規定值之容許誤差通常規定為(A)±7(B)±5(C)±3(D)±10mm。
17.所謂營業秘密,係指方法、技術、製程、配方、程式、設計或其他可用於生產、銷售或經營之資訊,但其保障所需符合的要件不包括下列何者?(A)所有人已採取合理之保密措施者(B)因其秘密性而具有潛在之經濟價值者(C)因其秘密性而具有實際之經濟價值者(D)一般涉及該類資訊之人所知者。
18.目前國內161kV交連PE電纜之構造檢查中規定絕緣體之偏心率不得大於0.15,所謂偏心率之定義為(A)(B)(C)(D)。
19.輸電用充油電纜之真空處理通常使用真空計讀取真空度,其單位以(A)mmAg(B)cmAg(C)cmHg(D)mmHg表示。
20.輸電充油電纜之常時容許最高溫度為(A)95(B)85(C)90(D)80℃。
21.69kV交連PE電纜在管路口之部位,應保持至少(A)200(B)300(C)100(D)400㎜之水平筆直長度。
22.輸電地下電纜線路遮蔽接地系統採用單端接地設計,如非接地端設於變電所或連接站側,三相電纜終端匣之支架為共用時,其裝設電纜被覆保護裝置之型式通常使用(A)SB-S(B)XB(C)SB-1(D)SB-2型。
23.6極50Hz之發電機,其每分鐘同步轉速為(A)1000(B)1700(C)1500(D)1200轉。
24.目前國內輸電線用161kV交連PE電纜之遮蔽層採用銅線遮蔽,其素線線徑及條數規定為(A)1.2Φ㎜×80條(B)2.0Φ㎜×80條(C)2.0Φ㎜×65條(D)1.4Φ㎜×80條。
25.目前國內161kV交連PE電纜之絕緣體平均厚度規定不得小於規定值之(A)90(B)95(C)85(D)80﹪。
26.對於噪音之量測,下列何者錯誤?(A)測量低頻噪音時,僅限於室內地點測量,非於戶外量測(B)風速大於每秒5公尺時不可量測(C)可於下雨時測量(D)聲音感應器應置於離地面或樓板延伸線1.2至1.5公尺之間。
27.目前國內輸電線用69kV交連PE電纜之遮蔽層,其截面積設計能承受系統故障電流及持續時間為(A)15KA/0.4秒(B)10KA/0.4秒(C)15KA/1.7秒(D)10KA/1.7秒。
28.下列的能源效率分級標示,哪一項較省電?(A)2(B)4(C)3(D)1。
29.使用螺絲起子時須與螺絲釘的頭部接觸面保持(A)45(B)75(C)90(D)60度旋轉。
30.充油電纜接續匣銅管之被覆或防蝕層做防蝕補修時,下列情形何者發生時須削除並用鋼絲刷將表面刷成粗糙:(A)有油污(B)有擦傷(C)燒焦碳化(D)化學藥物污染。
31.磁通密度的單位為(A)達因(B)韋伯(C)牛頓(D)韋伯/平方公尺。
32.輸電人孔內之交連PE電纜接續匣目前國內採用固定式支撐,其固定於側壁之主要裝置材料除角鐵支柱外,其餘為(A)F1型支臂及接續匣固定套(B)L1型支臂、L型固定帶及接續匣固定套(C)F2型支臂及接續匣支持礙子(D)L1型支臂、L型固定帶及彈簧式固定座。
33.有關吹風機使用注意事項,下列敘述中錯誤的是?(A)請勿在潮濕的地方使用,以免觸電危險(B)應避免長時間使用,使用時應保持適當的距離(C)可用來作為烘乾棉被及床單等用途(D)應保持吹風機進、出風口之空氣流通,以免造成過熱。
34.交連PE電纜之接續作業前須先將(A)電纜浸油(B)剝離絕緣紙(C)電纜彎曲(D)電纜整直。
35.交連PE電纜之接續作業中剝離被覆時,應先將PVC被覆上由剝除點外之(A)石墨粉(B)銅粉(C)鉛粉(D)鋅粉依規定範圍以砂紙磨除乾淨。
36.變壓器溫度降低時,其絕緣電阻會(A)不變(B)減少(C)增加(D)不一定。
37.下列何行為不是土壤及地下水污染整治法所指污染行為人之作為?(A)洩漏或棄置污染物(B)仲介或容許洩漏、棄置、非法排放或灌注污染物(C)非法排放或灌注污染物(D)依法令規定清理污染物。
38.輸電用69kV交連PE電纜之接續處理過程中,須完成電纜絕緣體削尖,其形狀如下圖示。圖中各部位如符號ABC及D所示,皆須依規定之尺寸施作,其削尖處理之先後順序為(A)ABCD(B)ADCB(C)ABDC(D)ACBD。
39.下圖a.b兩端之開路電壓為(A)0(B)5(C)2(D)10伏特。
40.下列哪一種飲食習慣能減碳抗暖化?(A)多吃速食(B)多吃牛肉(C)多吃天然蔬果(D)多選擇吃到飽的餐館。
41.充油電纜接續匣之鉛工處理前須於銅管端末之空隙填塞(A)鐵間隔片(B)鉛間隔片(C)鋁間隔片(D)銅間隔片使其間隙勻稱。
42.電鈴能響是因為電的(A)磁效應(B)伏打效應(C)光電效應(D)熱效應。
43.線電流為20A之平衡三相三線式負載系統以鉤式伏安表同時任意鉤住其中二線電流時,其值為(A)60A(B)20A(C)40A(D)0A。
44.輸電用絕緣型電纜接續匣進行組裝時於導體壓接前,應確認所必需之組件套入無誤後始壓接,如下圖示之組件為例,其擺放位置以(A)O型襯墊與絕緣筒應對調(B)O型襯墊與接續匣保護殼應對調(C)絕緣筒保護套與接續匣保護殼應對調(D)原位不需變動為正確。
45.經濟部能源局的能源效率標示分為幾個等級?(A)7(B)5(C)1(D)3。
46.交連PE電纜之接續作業中剝除外部半導電層後,下列後續步驟中何者須最先處理?(A)外露之絕緣體用膠帶包紮保護(B)露出之外部半導電層用玻璃片作削尖處理(C)外部半導電層磨光(D)剝除絕緣體及內部半導電層。
47.69kV及161kV輸電電纜佈設後固定時之最小彎曲半徑,為電纜外徑之(A)20倍(B)10倍(C)15倍(D)25倍。
48.以下何者是消除職業病發生率之源頭管理對策?(A)多運動(B)使用個人防護具(C)健康檢查(D)改善作業環境。
49.三相Y接線之感應電動機,若相電壓為220V時,則線電壓為(A)300V(B)350V(C)380V(D)220V。
50.充油電纜接續匣之鉛工處理前通常須於其銅管端末之空隙間填塞(A)不鏽鋼(B)鋁(C)銅(D)鉛製之間隔器或填充物。
51.變壓器開路試驗是在測其(A)介質損失(B)鐵損(C)機械強度(D)銅損。
52.輸電用RL或RF型支臂為轉角式,通常使用於電纜有傾斜角度之支撐,其旋轉角度之範圍通常為(A)47°(B)37°(C)57°(D)27°。
53.有效而正確的節能從選購產品開始,就一般而言,下列的因素中,何者是選購電氣設備的最優先考量項目?(A)名人或演藝明星推薦,應該口碑較好(B)安全第一,一定要通過安規檢驗合格(C)採購價格比較,便宜優先(D)用電量消耗電功率是多少瓦攸關電費支出,用電量小的優先。
54.長程輸電地下電纜線路竣工後,為確定電纜接續匣施工有否瑕疵,目前採用(A)交流耐壓試驗(B)部分放電試驗(C)直流耐壓試驗(D)絕緣電阻測試為最有效之測試方法。
55.目前國內161kV充油電纜之正常油壓設計為(A)5(B)6(C)3(D)4㎏/㎝2G。
56.目前國內輸電交連電纜採用第一道遮水層設計,其材料為(A)積層鋁帶或積層鉛帶(B)鋁被套(C)不鏽鋼帶(D)鉛被套。
57.充油電纜鉛工作業,通常使用(A)鋁(B)鉛(C)銅(D)不鏽鋼焊條。
58.國內輸電充油電纜之補油系統中,下列何者非裝設壓力調節槽(Pressuretank)之主要目的:(A)容納或供給電纜內部絕緣油用(B)循環冷卻(C)穩定油壓(D)備用補油。
59.分別為R、2R、3R歐姆的三個電阻並聯後接於某電源,則三電阻上電流大小之比為(A)6:3:2(B)1:2:3(C)9:4:1(D)3:2:1。
60.交連PE電纜接續作業中切除外部半導電層上之半導電性帶前,下列步驟何者須最優先處理(A)削尖絕緣體(B)剝除導體壓接部分之絕緣體(C)將遮蔽銅線平分上、下各兩束往後摺彎固定(D)剝除外部半導電層。
61.就一線性電路之任意兩端而言,可用下列何者等效電路替代?(A)一電阻與一電壓源並聯(B)一電阻與一電流源並聯(C)一電阻與電壓源串聯(D)一電阻與一電流源串聯。
62.有關R-L-C並聯諧振電路,下列敘述何者正確?(A)cosθ=1(B)阻抗最小(C)電流最小(D)阻抗最大。
63.影響導線電阻大小之因素,下列敘述何者正確?(A)與導線截面積成反比(B)與周圍溫度成正比(C)與材料電阻係數成正比(D)與導線長度成正比。
64.充油電纜施做基層鉛工以瓦斯噴燈加熱時,於該電纜遠端油槽之盲栓須鬆開少許以洩油。其目的為:(A)降溫保護電纜(B)防止內部絕緣油變質(C)除濕及排氣(D)避免電纜內之油壓突增。
65.充油電纜那些器材安裝程序,需經過配管、排氣、真空處理及充油等步驟,依其順序完成後方能使用?(A)電纜被覆保護裝置(B)接續匣(C)閥盤(D)終端匣。
66.下列何者為一般輸電線路常用的電纜終端匣?(A)屋外型(OutdoorType)(B)屋內型(IndoorType)(C)包帶型(D)氣封型(GasType)。
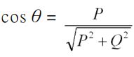
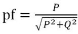
67.交流電路中,設S為視在功率,P為平均功率,Q為虛功率,pf為功率因數,則下列何者正確?(A)(B)(C)P=Scosθ(D)。
68.交流電路中,下列敘述何者正確?(A)電路之總電抗功率等於各分路之電容性與電感性電抗功率之差(B)電路之總平均功率等於各分路平均功率之總合(C)電路之總視在功率不等於各分路視在功率之總合(D)電路之總視在功率等於各分路視在功率之總合。
69.充油電纜施做基層鉛工時,於鋁被表面用瓦斯噴燈加熱,其施做要領為那些?(A)火焰頻頻移動(B)火焰顏色調為呈紅色(C)火焰集中於一點,數分鐘後移動(D)噴燈火焰顏色呈青色。
70.輸電充油電纜之補油系統中,裝設壓力調節槽(Pressuretank)之主要目的:(A)容納或供給電纜內部絕緣油用(B)備用補油(C)穩定油壓(D)循環冷卻。
71.當R-L-C並聯電路產生諧振時,下列何種情況正確?(A)總電流最大(B)總導納最大(C)總電壓與總電流同相(D)。
72.輸電電纜屋外終端匣組立過程中,下列敘述何者正確?(A)O型油封安裝時,在油封表面需塗抹矽油膏幫助氣密(B)需量測瓷礙管實際長度,再決定電纜處理的相關尺寸(C)瓷礙管外壁需做清潔、內壁則不需要(D)吊掛安裝瓷礙管時,安裝督導可以不用在場。
73.充油電纜接續匣或終端匣於完成捲紮絕緣紙及安放銅管定位後之鉛工作業,下列程序敘述何者正確?(A)於基層鉛工表面集中火焰使鉛工焊條軟化為止(B)直接加熱於鉛焊條使熔化於基層鉛工表面(C)用火焰加熱及塗以石(或脂)腊清除金屬表面之氧化膜(D)用軟皮一面揉搓一面推送壓貼於銅管末端之間隙,直至完全密封。
74.輸電用交連PE電纜終端匣組立之引出棒壓縮處理程序敘述何者正確?(A)套入組件時應保護組件免於損傷銅管(B)壓縮前應套入之組件須詳細清點(C)套入之方向應正確且須經二人以上確認(D)導體引出棒套入時須完全定位並保持筆直。
75.輸電交連PE電纜絕緣體研磨作業,下列敘述何者正確?(A)確認簡易鏡面處理不可刮傷及異物附著(B)研磨處理之各部尺寸合乎圖面規定值(C)研磨各部位時可使用砂輪機(D)確認半導電漆塗佈均勻。
76.以兩瓦特計測平衡三相功率,其兩表讀數分別為W1及W2,下列敘述何者正確?(A)Q=√3(W1-W2)(B)(C)P=W1-W2(D)P=W1+W2。
77.輸電充油電纜人孔內之反曲段以管型支柱支撐時,須配合下列何種配件使用?(A)RO固定帶(B)OL固定帶(C)RF型支臂(D)電纜支持礙子。
78.有關充油電纜線路下列敘述何者正確?(A)施工時電纜內部油壓維持正壓(B)電纜油壓上升表示負載增加(C)運轉可靠度較高(D)附屬器材種類單純。
79.充油電纜之基層鉛工於最後階段之處理,下列敘述何者正確?(A)使用鉛焊條(B)使用鋁焊條(C)推送焊料時須保溫,使全面壓貼於鍍層表面,並依圖示尺寸完成所需外徑(D)將焊條加熱熔解於鍍層上。
80.輸電電纜終端匣或接續匣其O型油封之安裝,下列敘述何者正確?(A)安裝組立時,須依規定塗抹矽油膏(B)須注意安裝位置,不可跑出溝槽(C)安裝前須詳細檢查有無損傷(D)可使用膠帶假固定,安裝後不須移除。