所屬科目:基礎化學
1. 關於纖維的敘述,下列何者正確?(A)合成纖維如聚酯纖維(Polyester)容易生物降解,故不會對水污染造成影響(B)再生纖維(如人造絲、醋酸纖維)是由植物纖維(如木漿或竹漿)加工製成(C)棉花、亞麻等植物纖維具有極佳的彈性與耐磨性,因此適合製作運動服(D)羊毛和蠶絲屬於動物纖維,主要成分為纖維素
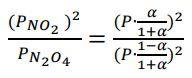
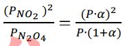
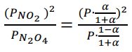
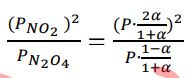
2. 某密閉容器中充滿N2O4,當氣體達到平衡時,解離度為α,系統總壓P,已知反應 為N2O4(g) ⇌ 2NO2(g),請選出平衡常數Kp的表示式為? (A)Kp=(B) Kp= (C) Kp= (D) Kp=
3. 已知兩個氣球分別充滿1莫耳的氦氣(He)與氫氣(H₂),並假設氣體皆符合理想氣體 行為;當兩氣球逸散相同體積的氣體時,請問氦氣與氫氣所需的時間比為多少?(已知: 氦的原子量 = 4 g/mol,氫的原子量 = 1 g/mol) (A) 1:2 (B) 2:1 (C) 2: (D):2
4. 欲使用濾紙色層分析法來分析葉綠素的組成。首先在濾紙上點上葉綠素樣品,並將濾紙的一端放入乙醇與水的混合溶液中。經過一段時間後,發現濾紙上出現不同顏色的色帶。請問影響這些色帶分離的主要因素是? (A)各成分在固定相和流動相之間的親和力不同 (B)所有成分在流動相中的溶解度相同,因此分離效果較差 (C)所有色素的極性都相同,因此分離效果差 (D)濾紙的材質不會影響層析結果
5. 欲將糖和砂子混合物進行分離,規劃進行以下分離步驟(1)先將混合物倒入水中,攪拌後發現糖溶解,而砂子沉澱在杯底。(2)接著將溶液倒入濾紙,讓水溶液透過濾紙,而砂子則留在濾紙上。(3)最後將糖水加熱,使水蒸發,留下純糖。請問,這些步驟分別涉及了哪些物質分離方法?(A)沉澱法、過濾法、蒸發法(B)蒸餾法、過濾法、沉澱法(C)揀選法、過濾法、升華法(D)萃取法、過濾法、蒸餾法
6. 實驗瞭解到物質可以因溫度變化而改變狀態。下列有關日常生活中的觀察描述,請問哪一個現象屬於「凝結」的例子? (A)水壺中的水加熱後開始冒出大量水蒸氣 (B)冰箱裡的乾冰放置一段時間後直接變成氣體消失 (C)冬天時,玻璃窗內側出現水滴 (D)熱巧克力倒入模具後冷卻變成固體
7. 甲烷(CH₄)在氧氣中完全燃燒,反應式CH₄ + 2O₂ → CO₂ + 2H₂O,如果有32克甲烷參與反應,請問這些甲烷能產生多少個二氧化碳(CO₂)分子? (A) 1.204×1024個分子 (B) 6.02×1023個分子 (C) 2.408×1024個分子 (D) 6.02×1024個分子
8. 某離子包含29個質子、34個中子、27個電子,則該元素的原子質量數為多少?(A) 56 (B) 61 (C) 92 (D) 63
9. 以共價鍵的結合方式所形成的物質稱為分子,以下關於分子的描述何者正確?(A)因分子間吸引力大,故大部分分子晶體的熔點高(B)元素分子表示由相同原子組成的分子(C)分子具有良好的延展性(D)分子化合物常以實驗式表示
10. 某氣體在27°C(300K)、1.0 atm的壓力下,佔據5.0 L的體積,其質量為6 g。請問該氣體的分子量是多少?(氣體常數 R=0.0821 L⋅atm/mol⋅K) (A) 20 g/mol (B) 30 g/mol (C) 40 g/mol (D) 50 g/mol
11. 下列選項中,質量最大的是哪一個?(假設標準狀況下氣體體積為22.4 L/mol,原子量:C = 12, H = 1, O = 16, N = 14)(A) 6.02×1023個CO₂分子 (B) 18 g的H₂O(C) 44 amu的CO₂分子 (D) 22.4 L的N₂(標準狀況下)
12. 在一密閉容器中,某反應A + B ⇌ C於25°C下進行,並測得各化合物的初始濃度及平衡濃度(單位:M)如下:根據濃度變化,正確的化學反應方程式為何? (A) A + B ⇌ C (B) 2A + B ⇌ C (C) A + 2B ⇌ C (D) 2A + 2B ⇌ C
13. 甲烷(CH4)燃燒的化學反應CH4 + 2O2 → CO2 + 2H2O +熱量根據燃燒放熱的概念,請選出下列哪一個反應能釋放最多的熱量?(假設反應完全進行)(A) CH4(g) + 2O2(g) → CO2(g) + 2H2O(g) (B) CH4(g) + 2O2(g) → CO2(g) + 2H2O(l)(C) CH4(l) + 2O2(g) → CO2(g) + 2H2O(g) (D) CH4(l) + 2O2(g) → CO2(g) + 2H2O(l)
14. 下列同莫耳濃度的各酸鹼溶液等體積混合,其混合液之pH值,何者小於7?(A)鹽酸與氫氧化鈉溶液 (B)鹽酸與氨水(C)醋酸溶液與氫氧化鈉溶液 (D)碳酸與氫氧化鈉溶液
15. 依據來源分類,下列何者為天然聚合物?(A)達克綸 (B)聚丙烯 (C)蛋白質 (D)酚醛樹脂
16. 鹼金屬元素的下列哪些性質隨原子序增加而減小?(A)氫氧化物的鹼性 (B)熔點 (C)半徑 (D)密度
17. 用標準鹽酸滴定未知濃度的氫氧化鈉溶液,下列操作不會影響測定準確性的是?(A)酸式滴定管用水洗滌後,未用標準鹽酸潤洗(B)盛氫氧化鈉溶液的錐形瓶用蒸餾水洗滌後,再用氫氧化鈉溶液潤洗(C)搖動時,將液體濺至錐形瓶外(D)在盛放氫氧化鈉溶液的錐形瓶內添加少量蒸餾水
18. 下列關於葡萄糖的敘述,哪些正確?(A)生物體中葡萄糖的氧化是放熱反應(B)果糖與葡萄糖的分子式不同,但是碳、氫、氧的原子數均相同(C)葡萄糖是碳原子與水分子結合成的化合物,所以稱為碳水化合物(D)分子式為C6H6O12
19. 下列關於天然油脂的敘述,哪些是正確的?(A)油脂屬於一種聚合物,油脂的分子量常在100000以上(B)生物體中常見的油脂是由一分子乙二醇與兩分子長碳鏈羧酸由酯化反應得到(C)油脂屬於一種有機酯類,多具有柑橘類水果的香味(D)不飽和油脂中具有順式的C=C雙鍵,故熔點較低
20. 關於反應熱(ΔH)的敘述,何者錯誤?(A)熱化學方程式之係數乘n倍,反應熱亦乘n倍(B)正反應的反應熱和逆反應的反應熱大小相等,符號相反(C)反應熱會受溫度及壓力的影響(D)反應熱與反應物的初、終狀態無關,與反應進行的途徑有關
21. 下列化學式,何者不能表示出化合物中成分元素之原子種類、原子數目及部分化性?(A)電子式 (B)分子式 (C)結構式 (D)示性式
22. 下列各分子或離子,何者沒有共振現象?(A)二氧化氮 (B)碳酸根 (C)一氧化氮 (D)硝酸根
23. 下列何種物質在酸性溶液中不能被過錳酸鉀氧化?(A)丙酮 (B)丙醛 (C)甲酸 (D)草酸
24. 核酸是由核苷酸聚合而成,核苷酸分子不包含下列何者?(A)磷酸根 (B)鹼基 (C)胺基酸 (D)五碳醣
25. 下列各組物質中,何組互為同分異構物?(A)葡萄糖與果糖 (B)氧與臭氧 (C)蛋白質與多肽 (D)金剛石與碳六十
26.下列選項中屬於純物質的有?(A)碘酒 (B)黃銅(C)水 (D)24K金
27.下列何組物質可以用來說明倍比定律?(A) H2O和H2O2 (B) CO和CO₂(C) NaCl和KCl (D) H2SO4和H2SO3
28.以下是四個化合物,請選擇哪些化合物是離子鍵結合的。(A) NaCl (B) H₂O(C) MgO (D) CO₂
29.在以下選項中,哪些屬於膠體溶液的特徵?(A)光線通過時可見明顯的光路(B)具有較好的透光性,不會散射光線(C)可用普通濾紙分離出分散質(D)分散質顆粒大小介於真溶液與懸浮液之間
30.在日常生活中,我們經常遇到氧化還原反應。以下四種常見的氧化還原反應,請判斷畫底線的物質何者符合還原劑的特性? (A)鐵生鏽4Fe + 3O2 + 6H2O → 4Fe(OH)3 (B)氫氣燃燒2H2 + O2 → 2H2O (C)次氯酸消毒NaClO + H2O → NaOH + HClO (D)碳與氧氣燃燒C + O2 → CO2
31.有關醣類的敘述,哪些是正確的?(A)乳糖由一分子半乳糖與一分子果糖脫去一分子水結合而成(B)麥芽糖由兩分子葡萄糖脫去一分子水結合而成(C)多醣類(如澱粉、纖維素)的通式通常為(C₆H₁₀O₅)ₙ(D)纖維素與澱粉的單體相同,屬同分異構物
32.根據哈伯法製氨的反應方程式N2(g) + 3H2(g) ⇌ 2NH3(g) + 22 kcal,下列哪些操作會使平 衡向右移動(有利於氨的生成)? (A)添加催化劑 (B)增加反應壓力 (C)降低反應溫度 (D)移除氨氣(NH₃)
33.下列哪些方法可以得到氧?(A)加熱紅色的氧化汞 (B)將鹽酸與鋁箔反應(C)將貝殼粉末放入鹽酸中 (D)在二氧化錳催化下,加熱氯酸鉀
34.下列有關生物體中有機物的敘述,何者正確?(A)猪油是屬於飽和脂肪酸酯類(B)核酸是組成油脂的重要成分(C)所謂DNA是指去氧核糖核酸(D)大豆油與氫氧化鈉反應,可得肥皂與丙三醇
35.氫之製備可利用下列哪些反應?(A)鋁錠加濃鹽酸 (B)一元硬幣加濃硝酸(C)鋅加氫氧化鈉水溶液 (D)二氧化錳加入濃度30%之雙氧水中
36.下列關於空氣污染的敘述哪些是正確的?(A)NO和有機物過度污染可能造成光化學煙霧(B)SO2、P4O10溶於水可生成亞硫酸與磷酸(C)二氧化碳可阻止太陽光中的紅外光輻射進入地球(D)工廠排放之SO2廢氣可用牡蠣殼的細微粉末吸收之
37.下列物質若擴散至臭氧層,哪些會使臭氧減少?(A) CO (B) NO(C) CO2 (D) CFCs
38.關於蛋白質的敘述,哪些錯誤?(A)胺基酸結合形成蛋白質,受熱時會使蛋白質凝固(B)蛋白質即便在強酸或強鹼之下,仍不易水解(C)鉛中毒時,可以用蛋白質解毒(D)蛋白質與濃硫酸共熱呈現黃色
39.下列物質中哪些具有蛋白質成分?(A)綿羊毛 (B)棉花(C)蜂蜜 (D)水鳥羽絨
40.下列有關油脂與肥皂之敘述何者正確?(A)油脂與氫氧化鈉溶液共熱後,可以產生脂肪酸鈉(B)甘油與脂肪酸可以形成酯類(C)肥皂為酯肪酸鈉鹽或脂肪酸鉀鹽(D)油脂中以甘油的水溶性最佳
(1)實驗室中現有指示劑三種,其變色範圍如下,若考慮硫酸與弱鹼的滴定終點,請選出並寫下最合適的指示劑名稱?(5分)
(2)研究人員使用已知濃度為0.1500 M的NaOH溶液(氫氧化鈉)來標定該硫酸溶液,實驗結果發現20.00 mL硫酸溶液可與30.00 mL的0.1500 M NaOH完全反應,請列出計算過程,並以適當有效位數值來表示硫酸溶液的實際濃度(M)。(5分)
(1)混合後溶液中[Cl-]濃度是多少(M)?(3分)
(2)若溶液中[Pb2+]=0.10 M,試求此混合溶液平衡時的離子積?(3分)
(3)此混合溶液平衡時離子積_________ Ksp,畫底線處請回答大於、等於或小於。(2分)
(4)請以有或沒有來回答判斷有無沈澱產生。(2分)