所屬科目:材料力學(概要)
一、如圖所示均質材料桿件 , ab 桿件及 bc 桿件有相同彈性模數為 E =200 × 106 kN /m2 ,ab 桿件及 bc 桿件之斷面積分別是 = 0.002 m2 、 = 0.001 m2 。當軸向水平載重 P = 200 kN ,求 ab 桿件與 bc 桿件的軸 向應力、軸向應變及 c 點軸向位移。
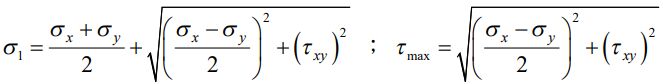
二、如圖所示為某點平面應力狀態,求其最大正向應力σ1 及最大同平面剪應力 。
三、如圖(a)所示簡支梁,a 點鉸支承,b 點為滾支承,梁桿件有相同的彈性模 數 E 與慣性矩 I,且 EI = 20000 kN -m2 。 a 點及 b 點分別承受順時針彎矩 = 48 kN -m 、 = 24 kN -m ,求簡支梁 a 點及 b 點的轉角。
提示:請應用圖(b)及圖(c)所提供的公式
四、如圖所示為梁桿件,矩形斷面寬度 b = 0.12 m ,深度 h = 0.50 m ,梁桿件斷面承受軸向載重 P = 120 kN 及彎矩 M = 60 kN -m 作用。求此矩形斷面在 a 點及 b 點的正向應力 。