所屬科目:材料力學(概要)
1.材料用以抵抗產生永久塑性變形的最大應力為何? (A)破裂強度(fracture strength) (B)極限強度(ultimate strength) (C)疲勞強度(fatigue strength) (D)降伏強度(yield strength)
2.一根表面光滑的低碳鋼桿件(low carbon steel bar)拿來進行拉伸試驗,當負載到達降伏強度時,可以觀察到滑動區(slip band)或稱為 Luder’s band 或 Piobert’s band。請問此滑動的方向與試件的軸向成幾度的夾角? (A) 0° (B) 30° (C) 45° (D) 90°
3.當材料使用在相當高的溫度環境下(如飛機引擎高溫段用的渦輪葉片等),請問下列哪個選項中所描述的材料反應 行為是正確的? (A)隨著溫度的上升,材料的強度(strength)上升,彈性模數上升 (B)隨著溫度的上升,材料的強度(strength)上升,彈性模數降低 (C)隨著溫度的上升,材料的強度(strength)降低,彈性模數上升 (D)隨著溫度的上升,材料的強度(strength)降低,彈性模數降低
4.當等向性線性彈性材料受張力或壓力時體積也會隨著改變,單位體積的體積改變量通常稱為 dilatation(e)。考慮一桿件承受張力負載時,如果我們選取桿件一微小的元素,請問下列選項何者正確?(註:ε是軸向應變;v是波松比Poisson’s ratio) (A) e = ε(1 − ?) (B) e = ε(1 − 2?) (C) e = ε(1 + ?) (D) e = ε(1 + 2?)
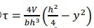
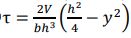
5.一根長度為 L 的桿件的兩個端點被固定如【圖 5】所示,如果桿件的溫度均勻提升了ΔT時,請問桿件中會產生的熱 應力(, thermal stress)為何?(註:E 及 G 為楊氏模數及剪力模數,α為熱膨脹係數(coefficient of thermal expansion), v是波松比)
(A) EαΔT (B) E(1-v) αΔT (C) αΔT/E (D) (1-v) αΔT/E
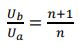
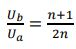
6.請問桿件 BD 及 BC 分別 承受的力為何? (A) (B) (C) (D)
7.接續上題,所有桿件的截面積皆為 500 mm2,且其設計允許的拉應力(allowable stress in tension) 及壓應力分別為= 300 ?Pa及 = 200 MPa時。請問設計允許的負載為何? (A) 74 kN (B) 68 kN (C) 62 kN (D) 56 kN
8.一根有垂直臂 CE 的樑 ABCD,如【圖 8】所示,在 A,D 點有簡支撐(simply supported)。一根纜繩(cable)由樑的 E 點通過一個在 B 點的光滑的滑輪(pulley)吊一個重 W=27 kN 的物體。請問在 C 點處樑的彎矩(bending moment)及剪力為何? (註:1 kip = 1,000 pounds-force)
(A) M=21.6 kN‧m;V=7.2 kN (B) M=50.4 kN‧m;V=7.2 kN (C) M=21.6 kN‧m;V=50.4 kN (D) M=50.4 kN‧m;V=21.6 kN
9.請問此實心木質垂直柱子的 直徑 d1 至少需要多少? (A) 273 mm (B) 328 mm (C) 382 mm (D) 437 mm
10.接續上題,同樣高為 2.5m 的垂直柱子(vertical post)需要能夠支撐一側向力 P=12 kN 在柱子的上端如【圖 9(b)】,圖 9(b)所示是中空鋁合金的垂直柱子。假設此中空柱子的管壁厚度為管件外徑 d2 的 1/8,如果鋁合金的允許設計彎曲應力 (allowable bending stress)值為 50 MPa,請問鋁合金中空垂直柱子的外徑 d2 至少需要多少?
(A) 108 mm (B) 158 mm (C) 208 mm (D) 258 mm
11.一根 T 形截面的樑(beam)及其截面的尺寸如【圖 11】所示,如果在此截面處的力矩(moment)M = 4 kip‧ft,請問此截面的中性軸(neutral axis)的位置距離 T 形截面下緣為何? (A) 2 in. (B) 3 in. (C) 4 in. (D) 5 in.
12.接續上題,請問相對於中性軸(neutral axis)的慣性矩(moment of inertia)為何? (A) 33.3 in4 (B) 26.6 in4 (C) 19.9 in4 (D) 13.3 in 4
12.接續上題,請問相對於中性軸(neutral axis)的慣性矩(moment of inertia)為何? ( A ) 33.3 in4 ( B ) 26.6 in4 ( C ) 19.9 in4 ( D ) 13.3 in 413.接續上題,請問在此截面上受到 moment M=4 kipft 時,產生的最大拉應力及最大壓應力分別為何? (A) 3.58 ksi;-2.16 ksi (B) 5.76 ksi;-2.88 ksi (C) 7.16 ksi;-3.28 ksi (D) 7.76 ksi;-3.53 ksi
14.一根 simple beam AB 如【圖 14】所示,承受兩相同的集中力負載,請問在兩集中力負載中間的樑結構的剪力(shear force) 及彎曲力距(bending moment)分別為何?
(A) P, Pa (B) 0, Pa (C) –P, Pa (D) 0, -Pa
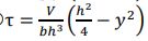
15.一根厚度為”2h”的樑結構受到彎曲(bending)負載,此時產生的最大彎曲應力(bending stress)會在樑的何處? (A)表面(z = ±h) (B)中性軸(neutral axis)處 (C)距離表面 h/2 處(z = ±(h/2)) (D)距離表面 h/3 處(z = ±(h/3))
16.請問 biaxial stress state 是指下列哪一種狀態? (A) (B) (C) (D)
17.在 Mohr’s circle 中主應力(principal stresses)的方向上的剪應力值為何? (A) (x 方向主應力值+ y 方向主應力值)/2 (B) x 方向主應力值 (C) y 方向主應力值 (D)零
18.當結構(具有等向性、均質性的線性彈性材料性質)受到 spherical stress state 時,也就是三個正向應力都相等 時。請問對應產生的正向應變 normal strain(∈0)為何? (A) (B)(C) (D)
19.一矩形截面積(寬及高分別為 b 及 h)的樑結構受到彎矩負載時,造成在截面上距離彈性中性軸(elastic neutral axis) 最遠處的結構材料先降伏(yield,??)。此時此彎矩稱為最大彈性彎矩(maximum elastic moment),或稱為降伏彎矩(yield moment,),並能表示為下列哪一個選項? (A) (B)(C)(D)
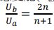
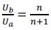
20.請問平均剪應力(average shear stress) τ(y)可表示為何? (A)(B) (C) (D)
21.接續上題,剪應力沿著厚度(y)方向的分布為: (A)橢圓曲線的分布(elliptic distribution) (B)拋物線分布(parabolic distribution) (C)雙曲線分布(hyperbola distribution) (D)線性分布(linear distribution)
22.【圖 22】為一樑受力後之剪力圖,請問下列敘述何者正確?
(A)點 a 為簡支承 (B)點 b 受一集中力,大小為 4 kN (C) bc 段不受外力或力矩 (D) cd 段承受一均布載重,大小為 1.5 kN/m
23.總周長為 2L之正方形斷面,其面積二次極慣量 (Polar Area Moment of Inertia)為何? (A) L 4 /2 (B) L 4 /4 (C) L 4 /12 (D) L 4 /96
24.如【圖 24】所示,一端簡支之剛性樑(Rigid Beam)被一勁度為 k 之彈性繩拉住,現於三分之一跨距處施加一集中力 P, 不計樑自重,下列敘述何者正確?
(A)在 d 點的垂直位移是 b 點垂直位移的兩倍 (B)在 d 點的垂直位移與 k 值無關 (C)彈性繩的受力與 k 值無關 (D)在點 a 之簡支承所受的總合力為 P/2
25.一桿件長 5 m,截面為 30 mm 60 mm 之矩形,彈性係數為 130 GPa,若桿件承受 20 kN 軸拉力,其伸長量最接近下 列何者? (A) 0.055 mm (B) 0.43 mm (C) 1.40 mm (D) 4.10 mm
26.如【圖 26】所示,一均勻簡支樑自重為 w=2 kN/m,受到兩個 4 kN 集中力的作用,求 c 點斷面彎矩?
(A) 6 kN-m (B) 8 kN-m (C) 10 kN-m (D) 12 kN-m
27.如【圖 27】所示,一均勻簡支樑,受到兩個集中力 P 的作用,樑自重可忽略,下列敘述何者錯誤?
(A) ab 段內剪力為定值 (B) bd 段內為純彎矩 (C) b 點與 d 點支承反力相等 (D)最大的位移絕對值發生在 c 點(中點)
28.如【圖 28】所示,一均勻直桿上下端固定,於三等分處,各受一扭力(Torque),下列敘述何者正確?
(A) ab 段內受到 T 的扭矩 (B)最大扭矩發生在 bc 段內 (C) bc 段內,扭矩為 2T (D) cd 段內,扭矩為 2T
29.如【圖 29】所示,斜線區域為一樑斷面,邊長尺寸標示於圖上,此斷面對 x 軸之面積二次慣量(Area Moment of Inertia) 為何?
(A) 230 cm4 (B) 440 cm 4 (C) 556 cm4 (D) 1,173 cm 4
30.如【圖 30】所示,一均勻樑長 6 m,兩端固定,在距右端 2 m 處施加一集中力 P,已知支承反力=1.50 kN,則下 列敘述何者正確?
(A) P=2.25 kN (B) P=3.00 kN (C) Ra=1.50 kN (D) Ra=3.00 kN
31.一個線性彈性矩形塊體,各邊長為:高、寬 a、長 b,若以力量 P 施於頂面,使其變形並靜止成【圖 31】之形狀,此時相對變形量為 d,d<<h,則該材料之剪力係數(Shear Modulus)為何?
(A) P/a/b (B) Ph/(abd) (C) Pd/(abh) (D) Pdh/a/b
32.如【圖 32】所示,一圓形斷面薄壁直管,管壁厚 2 mm,長度 500 mm,斷面外徑 80 mm,剪力模數G為 6.0 × 10 4 N/mm 2, 今施加 T=3.6 × 104 N-mm 之扭矩,直管兩端之總相對扭轉角最接近下列何者?
(A) (B) (C) (D)
33.一變斷面柱如【圖 33】所示,由 ab 及 bd 兩段組成,其中 ab 段為鋁製材質,彈性係數=70,000 MPa,截面積為=100 mm 2,bd 段為鋼製材質,鋼的彈性係數=200,000 MPa,其截面積=200 mm2。若受到圖示之負載,a 端的垂直位移最 接近下列何者?
(A) 1.20 mm(向上) (B) 1.25 mm(向上) (C) 1.20 mm(向下) (D) 1.25 mm(向下)
34.如【圖 34】所示,一長度 L 之簡支樑於兩端各受一彎矩 M 之作用, 給定撓曲剛度為 EI,不計樑自重,中點 b 之垂直位移為何?
(A) ML2 /(2EI) (B) ML2 /(6EI) (C) ML2 /(8EI) (D) ML2 /(16EI)
35.如【圖 35】所示,為某金屬之應力應變曲線,下列敘述何者最不適當?
(A)降伏強度約為 240 MPa (B)彈性係數約為 120 GPa (C)材料約在應變 0.2%開始有塑性變形 (D)極限強度約為 240 MPa
36.如【圖 36】所示,幾何尺寸 30 cm40 cm 之矩形斷面,於中心處開一半徑為 r=9 cm 之圓孔,其面積二次乘慣量(Product Area Moment of Inertia)Ixy 最接近下列何者?
(A) 0 cm4(B) 1.4×105cm4(C) 2.8×105cm4(D) 3.6×105cm4
37.施加扭矩於一柱,在推導總扭矩 T 與總扭轉角Φ之關係式Φ=TL/G/J 時,用到一些先決假設,下列先決假設何者錯誤?(A)斷面必須是圓形 (B)軸向必須是直桿(C)斷面上不得有平面內應變 (D)只適用於均質等向材料
38.一水平直樑受到頂面之垂直力與力矩,有關樑內力之剪力圖、彎矩圖與外力之間的關係,下列何者錯誤?(A)在集中外力作用處,剪力不連續,彎矩不連續 (B)在集中彎矩作用處,彎矩不連續(C)在僅有均布載重的作用下,剪力曲線為線性 (D)在僅有均布載重的作用下,彎矩分布為二次曲線
39.一根截面積為 A=60 mm2,標稱長度為 L=150 mm 的抗拉試棒,試驗所得之力與位移關係曲線如【圖 39】,請問該試棒之彈性係數 E 最接近下列何者?
(A) E=220 GPa(B) E=150 GPa(C) E=60 GPa(D) E=30 GPa
40.在兩個一模一樣的懸臂樑自由端分別受到一單位集中力 P=1 和一單位彎矩 M=1【如圖 40】,假設使用公制單位,材料彈性係數 ,截面二次慣量,長度 L=1 m。令θ為受到集中力懸臂樑自由端的順時鐘方向傾斜角,δ為受到彎矩懸臂樑自由端的向下位移,就數值比較上,請問下列何者正確?選項:(A) θ=δ (B) θ>δ (C) θ<δ (D)不一定
41.一薄矩形試件承受到一軸向水平壓縮負載(P)如【圖 41】所示。在試件中央 AB 及 AC 線段分別代表 n 及 t 的方向,且試件的楊氏彈性模數(E)、波松比()及試件厚度分別為 200 GPa、0.3 及 10 mm,請問試件的正向(extensional)應變為何?
(A) (B)(C) (D)
42.請問下列選項中,關於樑理論的撓曲相關公式何者正確?(A) EIv”= V (B) EIv’’’= p(C) (EIv’’)’’= p (D) EIv’’’’= M
43.由圖 43-(a)及圖 43-(b)分別知道一端固定(clamped)的懸臂樑受到集中負載 P 於自由端點及跨距內距離固定端 x=a 處,懸臂樑的撓曲可分別表示為v(x) =Px26?I(3L − x)及v(x) =Pa26?I(3x − a)當 a ≤ x ≤ L。公式中 EI 是撓曲剛性(flexural rigidity)且 L 為懸臂樑長度。請問當有兩集中力作用於此線性彈性懸臂樑如圖 43-(c)時,樑最大的撓曲變形(deflection)為何?
(A)(B)(C)(D)
44.某一材料元素(點)的平面應力(plane stress)狀態如【圖 44】所示。請問當考慮此元素逆時針旋轉 30°度時(i.e., x,y 軸逆時針旋轉 30成為 x',y'軸),請問旋轉後元素(點)的正向應力及剪應力分別為何?
45.在最大平面剪應力的面上,下列敘述何者錯誤?(A)與主應力面的夾角為 45(B)最大平面剪應力的大小皆相同(C)最大平面剪應力的面上沒有正向應力產生(D)最大平面剪應力的大小等於兩個主應力相減除以二後取絕對值
46.一根長 4 m 中空圓柱鋁製的桿件承受壓縮負載,且其端點邊界可以自由轉動(free rotation),桿件材料性質及截面的內外徑尺寸請看【圖 46】。如果抗挫曲損傷(buckling failure)設計的安全係數(FS)是 1.5,請問桿件可以允許的最大壓縮負載(maximum compressive load)為何?
(A) 30.6 kN(B) 34.8 kN(C) 39.1 kN(D) 43.5 kN
47.關於理想柱結構的彈性挫曲(elastic buckling)行為,下列選項何者錯誤?(A)與彈性挫曲負載相關的材料性質有彈性模數及波松比(B)彈性挫曲負載與柱結構長度的平方成反比關係(C)彈性挫曲負載與柱結構的截面慣性矩(moment of inertia)成正比關係(D)如果柱結構的截面積值不變,我們可以考慮使用中空薄殼管件結構來增加挫曲負載
48.油井鑽探的鑽頭(drill bit)及鑽管(drill pipe)如【圖 48】所示,在離地的鑽管考慮外表面上一個小元素 A,承受鑽探時合成外力所生的應力。這外力包含一拉伸力(tensile force)P=70 kips 以及一個扭力(torque)T=6 kip‧ft。此中空鑽管的外直徑及內直徑分別是 4.0 in.及 3.640 in.。請問鑽管外表面 A 處的最大剪應力為何?(註:在此處的徑向應力(radial stress)為零,且鑽管的張力降伏強度為 95 ksi)
(A) 24.4 ksi(B) 20.3 ksi(C) 18.2 ksi(D) 4.1 ksi
49.兩根長度及彈性模數皆相同的線性彈性桿件如【圖 49】所示,左圖為桿件(a),右圖為桿件(b)。桿件分別承受 及的拉力。依照彈性應變能的觀念,當此兩結構的總變形量(total elongation)相同時,儲存於桿件(b)的應變能及桿件(a)的應變能的比值為何?
50.一個重 200 lb 的塊狀物自高 h= 20 in.處落下,撞到一根截面積為 4 in2 的方形截面鋁合金桿件(post)的上表面如【圖 50】所示。請問被撞擊桿件(post)最大的壓縮量(maximum shortening)為何?(註:被撞擊桿件(post)的長度 L=2 ft、彈性模數 E=10×103ksi、降伏強度為 60 ksi)
(A) 0.0173355 in.(B) 0.034671 in.(C) 0.069342 in.(D) 0.104013 in.
51.三應變規(Strain Gauges)布置如【圖 51】a、b、c 所標示,其應變讀值分別為 ,則平面內剪應變 最接近下列何者?
(A)(B) (C)(D)
52.如【圖 52】所示,一長度為 L、撓曲剛度為 EI 之均勻彈性樑,左端 a 點處固定,而在跨距中間之 b 點處有一滾支承(Roller),樑身單位長之自重為 w,右端 c 點處因自重所引起之垂直位移為何?
(A) (5/384)wL4/EI(B) (12/384)wL4/EI(C) (13/384)wL4/EI(D) (19/384)wL4/EI
53. 一平面應力狀態為= -1.6 MPa,= 3.2 MPa,= 1.8 MPa,材料彈性係數 E=200,000 MPa,波松比(Poisson’s Ratio)v=0.25,其最大主軸應變為何?(A)(B)(C)(D)
54.如【圖 54】所示,一樑柱系統共有三根桿件,各桿件之撓曲剛度 EI 與長度 L 皆相同,其一端會於一剛性節點,另一端固定。若施加一彎矩 M 於節點上,不計樑柱自重,則該節點之旋轉角為何?
(A) ML/2/E/I(B) ML/3/E/I(C) ML/6/E/I(D) ML/12/E/I
55.有一樑受力如【圖 55】,其撓曲剛度為 EI=3,800 kN-m2,不計樑自重,內鉸接點 b 之垂直位移最接近下列何者?
(A) 10 mm (B) 20 mm(C) 30 mm (D) 40 mm
56.如【圖 56】所示,雙跨樑承受強度為 q 之均布載重,撓曲剛度為 EI,不計樑自重,點 b 的支承反力為何?
(A) qL/8(B) 2qL/8(C) 4qL/8(D) 5qL/8
57.如【圖 57】所示,一彈性直柱承受一偏心軸壓 P,a 為外力偏心距離,材料撓曲剛度為 EI,其挫屈強度為何?
(A) (1-a)π2EI/4/L2(B) (1-a)π2EI/L2(C) π2EI/4/L2(D) π2EI/L2
58.如【圖 58】所示,一變斷面軸承由等長 L 而粗細不同之兩段所構成,上半段扭轉剛度為 GJ,下半段轉剛度為 3GJ,天花板端與地板端皆固定,在上半段中點處施加一扭矩 T,天花板與地板所承受的扭矩分別為,下列何者最為接近?
59.如【圖 59】所示,以三根相同桿件等間距懸掛一長 L 之剛性板,並於距右端 L/4 處施加一集中力 P,剛性板可不計自重,若以 T1、T2、T3分別代表由左至右桿件受力,其中最大受力與最小受力之比值應為下列何者?
(A) 2:1(B) 3:1(C) 4:1(D) 7:1
60.兩個相同的樑堆疊如【圖 60】,各樑長度為 L,撓曲剛度皆為 EI,今在上樑中點處施加一集中力 P,樑自重可不考慮,則上樑在點 a 處之傾斜角為何?
(A) 5PL2/(96EI)(B) PL2/(24EI)(C) PL2/(16EI)(D) PL2/(2EI)