所屬科目:統計學
(一)在上述 3600 位消費者中,滿意分數介於 4.5 到 7.5 之間的人數至少有幾位?
(二)令上述調查的滿意分數隨機變數為 X ,若要將滿意分數轉換為 Y = aX + b,使得 Y 的平均數為 60、標準差為 10。試求 a 、b 之值為何?
(三)試估計母體滿意分數的 95%信賴區間?
(四)在 α = 0.05 顯著水準下,欲檢定母體滿意分數是否為 8。請寫出虛無假設 (null hypothesis)和對立假設(alternative hypothesis),並請根據 95% 信賴區間,說明檢定結果。
(一)五、六年級學生體重平均數(mean)為何?
(二)五、六年級體重資料合併後,該資料的眾數(mode)為何?
(三)某研究者認為該校五、六年級學生的平均體重有顯著差異,請寫出假設檢定。
(四)在 α 0.05 下,檢定五、六年級學生的平均體重是否有顯著差異,請寫出過程和結果。
(一)隨機變數 X 的機率密度函數為何?
(二) P(X = 2|Y = 0) 之值為何?
(三) P(X = 6 ∩ Y = 1) 之值為何?
(四)請問隨機變數 X 、 Y 是否獨立?請說明理由。
(一)請算出三組的學習滿意程度分數平均數分別為何?
(二)請寫出虛無假設和對立假設。
(三)變異數分析表中,a、b、c、d 之值分別為何?
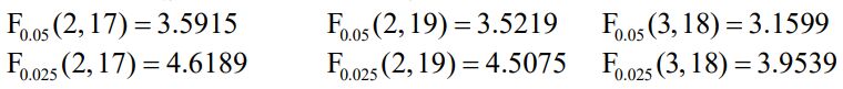
(四)在α = 0.05 顯著水準下,請檢定三種在職訓練的授課方式對員工學習滿意程度影響是否顯著差異?請寫出你的理由。