所屬科目:技檢◆儀表電子-甲級
1. 有一 4 1/2 位數數位電壓表,若以其量測 150V 的電壓時,其最小解析度為多少? (A)0.01V (B)0.1V (C)1V (D)10V。
2. 有關數位多用電表(DMM)之優點敘述,下列那一項是錯誤? (A)可增加顯示位數而增加解析度 (B) 無視差之缺點 (C)精密度可大為提高 (D)不受環境之影響,可靠性提高。
3. 螺絲與螺母鎖定時,螺絲尾應突出多少較適宜? (A)0.5 牙 (B)不須突出 (C)1.5 牙~5 牙 (D)10 牙以 上。
4. 用永磁動圈式表頭的串聯式歐姆表,當內部電池不足以讓表頭歸零時,所測得的電阻讀值將如 何? (A)忽高忽低的變動 (B)偏低 (C)偏高 (D)不受影響。
5. 下列那一個元件可以用來作為壓力轉換為電壓的介面? (A)石英(quartz) (B)霍爾(Hall)元件 (C)壓變 電容器(varactor) (D)PT100。
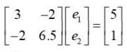
6. 如下圖電路所示,流過 R1 及 R2 之電流比為 1:2,則 R1 及 R2 之值各為多少?
(A)R1 =18Ω、R2 =9Ω (B)R1 =20Ω、R2 =10Ω (C)R1 =16Ω、R2 =8Ω (D)R1 =30Ω、R2 =15Ω。
7. 若一程式在記憶體內所佔的記憶體位址為 1800H~1FFFH,則此程式的大小為何? (A)3K (B)4K (C)2K (D)1K。
8. 下列何者為蕭特基(Shockley)二極體的典型順向電壓降? (A)0.2V~0.5V (B)0.5V~2V (C)2.5V~3V (D)2V~2.4V。
9. 同步示波器的觸發源若置於"LINE"位置,則表示輸入的觸發信號為何? (A)線上的輸入信號 (B)交 流電源信號 (C)外部輸入信號 (D)垂直軸的輸入信號。
10. 某放大器輸入信號為 10sin10t┼3sin20t 時,其輸出信號為 20sin10t┼5sin20t,此放大器產生了何 種失真? (A)頻率失真 (B)相位失真 (C)諧波失真 (D)波幅失真。
11. 下列各種方法中常用來作鍵盤之類的慢速 I/O 與 CPU 同步者為何? (A)直接記憶存取(DMA) (B)中 斷(interrupt) (C)持住(hold) (D)交插式記憶體(interleave memory)。
12. 下列敘述何者正確? (A)賄賂或不正利益,只限於法定貨幣,給予網路遊戲幣沒有違法的問題 (B) 在靠北公務員社群網站,覺得可受公評且匿名發文,就可以謾罵公務機關對特定案件的檢查情形 (C)公務機關委託的代檢(代驗)業者,不是公務員,不會觸犯到刑法的罪責 (D)受公務機關委託辦 理案件,除履行採購契約應辦事項外,對於蒐集到的個人資料,也要遵守相關保護及保密規定。
13. 下列何者非安全使用電腦內的個人資料檔案的做法? (A)規範不同人員可讀取的個人資料檔案範圍 (B)利用帳號與密碼登入機制來管理可以存取個資者的人 (C)為確保重要的個人資料可即時取得,將 登入密碼標示在螢幕下方 (D)個人資料檔案使用完畢後立即退出應用程式,不得留置於電腦中。
14. 使用數位電壓表測量約 10V 的未知電壓,欲得到 1mV 的解析度時,則應選用下列何者最為適 當? (A)4 1/2 位 (B)3 1/2 位 (C)6 1/2 位 (D)5 1/2 位。
15. 關於電腦中堆疊的敘述,下列何者錯誤? (A)堆疊的操作須使用 ROM (B)中斷的要求需使用堆疊 (C) 堆疊可由高位址往低位址存資料,亦可由低位址往高位址存資料 (D)副程式的呼叫需使用堆疊。
16. 勞力密集產業西移至大陸或東南亞是為了節省下列哪一種費用? (A)勞務費用 (B)材料費用 (C)管銷 費用 (D)製造費用。
17. 如下圖電路所示,已知所有的反及閘均使用開路集極的 IC 來設計,其中電源電壓的變化範 圍在 4.5V 至 5.5V 之間,又 分別為 0.5V 與 2.5V, 分別為 8mA 與 100μA, 分別為–0.5mA 與 50μA,請問使用下列多少歐姆的電阻可以使電路的邏輯正常運作?
(A)300 歐姆 (B)5000 歐姆 (C)3000 歐姆 (D)500 歐姆。
18. 某放大器,未加回授時之增益為 100,頻寬為 2MHz,今加一回授因數 β=0.04 之負回授電路, 其頻寬變為多少? (A)10MHz (B)8MHz (C)400kHz (D)4MHz。
19. 有關霍爾元件的輸出電壓 VH 之敘述,下列何者錯誤? (A)外加電壓或電流固定時,VH 與磁場強度 成反比 (B)在電流方向固定時,V H 的極性由磁場的方向來決定 (C)VH 與外加電流以及磁場強度的乘 積成正比 (D)磁場固定時,VH 與外加電壓或電流成正比。
20. 下列敘述何者為不正確? (A)8254 是串列(serial)之 I/O 介面 IC (B)8253 是計數(counter)之 I/O 介面 IC (C)8255 是並列(parallel)之 I/O 介面 IC (D)8279 是鍵盤(keyboard)之 I/O 介面 IC。
21. 關於移位暫存器的敘述下列何者有誤? (A)可延遲串列式的資料 (B)可當解碼器使用 (C)可將並列資 料轉換為串列 (D)可將串列資料轉換為並列。
22. 若七段式 LED 顯示器的其中一段已燒毀,而無法使其發亮,今測試顯示數字 2、3 都正常,則那 一段已燒毀? (A)c 段 (B)f 段 (C)g 段 (D)d 段。
23. 飼主遛狗時,其狗在道路或其他公共場所便溺時,下列何者應優先負清除責任? (A)警察 (B)清潔 隊 (C)土地所有權人 (D)主人。
24. 傳統示波器所使用的 CRT 影像管採用的偏向方法為下列何者? (A)離心力偏向 (B)重力場偏向 (C)磁 場偏向 (D)電場偏向。
25. 變壓器的電壓變動率測試,二次側的無負載電壓為 105V,滿載電壓為 100V,則其電壓變動率為 何? (A)4.8% (B)-4.8% (C)-5% (D)5%。
26. 白金測溫元件 Pt100 測溫時,以下列何種測定法的精確度較高? (A)四線式 (B)二線式 (C)三線式(定 電壓驅動) (D)三線式(定電流驅動)。
27. 有關再生能源中的風力、太陽能的使用特性中,下列敘述中何者錯誤? (A)設置成本較高 (B)間歇 性能源,供應不穩定 (C)需較大的土地面積 (D)不易受天氣影響。
28. 有一電壓調整器之無載電壓為 40V,滿載時電壓為 35V,則此電壓調整器之電壓調整率約為 (A)12.50% (B)16.27% (C)10.28% (D)14.29%。
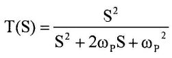
29. 下列那一項工作不是 two pass assembler 的 pass one 所作的工作? (A)將組合語言組譯成機器語言 (B)判斷每一指令的長度 (C)建立符號表 (D)設定位址計數器。
30. 全球暖化潛勢(Global Warming Potential, GWP)是衡量溫室氣體對全球暖化的影響,其中是以何者為比較基準? (A)CO2 (B)SF6 (C)CH4 (D)N2O。
31. 某濾波器的轉移函數 ,則此濾波器為何? (A)帶拒濾波器 (B)高通濾波 器 (C)低通濾波器 (D)帶通濾波器。
32. 如下圖電路所示,運算放大器為理想特性、並且工作於線性區,則的電壓為多少伏特?
(A)2 (B)1.5 (C)1 (D)0.5。
33. 布林代數化簡後應為何? (A)(B)AB+C (C)BC+A (D)AC+B。
34. 設某一電晶體在室溫下之 為 6μA,則當溫度升高 10℃後,其之值變成下列何者? (A)18μA (B)6μA (C)3μA (D)12μA。
35. 十六進位數 5BD3 的 2 的補數為何? (A)A32C (B)A42C (C)A42D (D)A32D。
36. 利用豬隻的排泄物當燃料發電,是屬於下列哪一種能源? (A)地熱能 (B)太陽能 (C)生質能 (D)核能。
37. 如下列程式所示,假設指令 PUSH X 的動作是將暫存器 X 的內容放入堆疊(stack),指令 POP X 的動作是從堆疊取出一筆資料放入暫存器 X 中。若暫存器的內容分別為:A=18、B=19、C=20、 D=21 時,則依序執行下列程式後,暫存器 A 的內容將為何?
(A)21 (B)20 (C)19 (D)18。
38. 在銲接工作中,工件表面經下列何種金屬處理後最容易銲接? (A)銅 (B)鎳 (C)鋁 (D)錫。
39. 事業單位之勞工代表如何產生? (A)由企業工會推派之 (B)由產業工會推派之 (C)由勞資雙方協議推 派之 (D)由勞工輪流擔任之。
40. 任職於某公司的程式設計工程師,因職務所編寫之電腦程式,如果沒有特別以契約約定,則該電 腦程式之著作財產權歸屬下列何者? (A)公司全體股東共有 (B)編寫程式之工程師 (C)公司與編寫程 式之工程師共有 (D)公司。
41. 依據台灣電力公司三段式時間電價(尖峰、半尖峰及離峰時段)的規定,請問哪個時段電價最便 宜? (A)夏月半尖峰時段 (B)尖峰時段 (C)非夏月半尖峰時段 (D)離峰時段。
42. 放流水標準,依水污染防治法應由何機關定之:A.中央主管機關;B.中央主管機關會同相關目的 事業主管機關;C.中央主管機關會商相關目的事業主管機關? (A)僅 C (B)ABC (C)僅 A (D)僅 B。
43. 下列那一個電橋適合量測高 Q 值的電感器? (A)凱耳文 (B)席林 (C)海氏 (D)馬克士威爾。
44. 鍵盤上"ghosting"的現象可用那一種元件消除之? (A)電容器 (B)二極體 (C)電阻器 (D)電感器。
45. 下列方程式何者為線性電阻器的特性曲線? (A)v=i2 (B)i+3v=10 (C)v+10i=0 (D) v=cos(t)i+3。
46. 量測調頻接收機的靈敏度,最適當的量測儀表為下列何者? (A)掃描信號產生器 (B)調頻立體信號 產生器 (C)標準信號產生器 (D)指標信號產生器。
47. 防止噪音危害之治本對策為下列何者? (A)實施職業安全衛生教育訓練 (B)實施特殊健康檢查 (C)使 用耳塞、耳罩 (D)消除發生源。
48. 如下圖電路所示,若測得 ,則下列何者為可能的故障原因?
(A) 開路 (B) 短路 (C)電晶體 B-C 接面短路 (D) 短路。
49. 有關專利權的敘述,下列何者正確? (A)製造方法可以申請新型專利權 (B)我發明了某項商品,卻 被他人率先申請專利權,我仍可主張擁有這項商品的專利權 (C)專利有規定保護年限,當某商品、 技術的專利保護年限屆滿,任何人皆可免費運用該項專利 (D)在本國申請專利之商品進軍國外,不 需向他國申請專利權。
50. 下列何者不是差動式串列傳輸界面? (A)USB (B)RS-485 (C)RS-232 (D)RS-422。
51. 如下圖交流等效電路所示,若=50, =1kΩ,則 為多少?
(A)51kΩ (B)52kΩ (C)53kΩ (D)54kΩ。
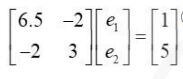
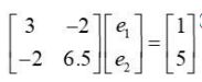
52. 欲將 8088 CPU 內暫存器 AX 之內容設定為 5,來源運算元(source operand)須使用那一種定址法 較恰當? (A)基底定址法(based addressing mode) (B)暫存器間接定址法(register indirect addressing mode) (C)記憶體直接定址法(memory direct addressing mode) (D)立即定址法(immediate addressing mode)。
53. 設計印刷電路板時,若要防止高頻向外輻散,電路板必須以下列何者標準來設計? (A)EMI (B)EMA (C)EMD (D)EMC。
54. 某一差動放大器,輸入之差動信號 Vd=V1-V2,V1 及 V2 為分別由二輸入端之信號,若此差動放 大器之共模信號以 Vc 表示,則下列關係何者正確? (A)V1 =(Vc/2)-Vd、V2 =(Vc/2)+Vd (B)V1 =(Vc/2)+Vd、V2 =(Vc/2)-Vd (C)V1 =Vc+(Vd/2)、V2 =Vc-(Vd/2) (D)V1 =Vc-(Vd/2)、V2 =Vc +(Vd/2)。
55. 下列何者不是主管機關設置水質監測站採樣的項目? (A)水溫 (B)溶氧量 (C)氫離子濃度指數 (D)顏 色。
56. CMOS IC 在下列哪一個電源電壓工作時,傳遞延遲時間最短? (A)15V (B)8V (C)12V (D)5V。
57. 下列何者非屬危險物儲存場所應採取之火災爆炸預防措施? (A)使用工業用電風扇 (B)標示「嚴禁 煙火」 (C)使用防爆電氣設備 (D)裝設可燃性氣體偵測裝置。
58. 如下圖電路所示,節點方程式之矩陣表示式為何? (A)(B)(C)(D) 。
59. 廚房設置之排油煙機為下列何者? (A)吹吸型換氣裝置 (B)排氣煙囪 (C)局部排氣裝置 (D)整體換氣裝 置。
60. 電腦機房使用時間長、耗電量大,下列何項措施對電腦機房之用電管理較不適當? (A)機房設定較 低之溫度 (B)設置冷熱通道 (C)使用較高效率之空調設備 (D)使用新型高效能電腦設備。
61. 下列哪些光電元件須外加電源?
(A)光遮斷器 (B)光伏打電池 (C)光電晶體 (D)光耦合器。
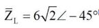
62. 如下圖電路所示,調整負載 使電路產生最大功率,則下列哪些正確?
(A)(B)(C)負載 之最大功率約為 417W (D) 。
63. SMT 錫膏保存與使用方法何者正確? (A)未使用時,以常溫保藏 (B)開蓋時間要盡量短,剩餘的錫 膏應盡快回收放置專門的回收瓶內 (C)使用前以常溫回溫 2 至 4 小時,並均勻攪拌 (D)超過期限的 錫膏即使未開封過,也會影響銲接品質。
64. 數位電表內的類比數位轉換(ADC)電路可分為下列哪幾類? (A)連續漸進式 (B)串列式 (C)電壓頻率 轉換式 (D)雙斜率積分式。
65. 固態繼電器(SSR)的特點,下列哪些敘述正確? (A)是一種接點式的交流控制開關 (B)使用半導體切 換,不會產生火花 (C)做為開關時,可以用來控制直流 (D)可應用於介面電路上,具有良好的隔離 作用。
66. 2 個 8 位元的無號數分別為 A=10110101 與 B=11010010,每位元分別執行邏輯閘運算,則下列哪 些運算結果正確? (A) (B) (C) (D)。
67. 對 PN 二極體的操作說明,下列敘述哪些正確? (A)加順向偏壓時,空乏區寬度減少 (B)當外加電源 的正極性接在 P 側,負極性接在 N 側,是為順向偏壓 (C)順向偏壓時的順向電阻 Rf 很小 (D)加逆向 偏壓時,空乏區寬度會變小。
68. 電子儀表量測值的顯示方式有 (A)數位式 (B)穿透式 (C)類比式 (D)直覺式。
69. 下列哪些是屬於編列預算的目的? (A)避免浪費與無效率的資源使用 (B)傳達公司政策藉以達成共 識 (C)訂定標準得以評估績效 (D)給定各部門經費上限。
70. 下列哪些可以用來直接測量交流電路功率值? (A)電壓表 (B)數位功率表 (C)動圈式瓦特表 (D)電力分 析儀。
71. UART 串列式傳送資料的敘述,下列哪些正確? (A)應該使用開始控制位元與停止控制位元以區分 兩筆資料 (B)遠距離傳送資料時,串列比較低成本 (C)資料傳送速率單位為 Byte (D)一個時脈傳輸一 個位元。
72. 依電子工作法之「裝配規則」的要求,下列哪些正確? (A)電阻器安裝於電路板時,色碼之讀法必 須由左而右,由上而下方向一致 (B)元件標示之數據必須以方便目視及閱讀為原則 (C)元件裝置於 電路板時,均必須裝置於元件面,高、低依序排列 (D)電路板焊接面可以使用跳線。
73. 計算機裡的 Sine 正弦函數大多借助以下列哪些級數展開的方式求得? (A)Taylor 級數 (B)Fourier 級 數 (C)Maclaurin 級數 (D)Riemann 級數。
74. 對於放大器之頻率響應,下列敘述哪些正確? (A)放大器之極間電容、雜散電容會使高頻響應不良 (B)耦合及旁路電容會使高頻響應不良 (C)頻率響應只會發生於電晶體放大器 (D)所謂轉折點(-3dB 點)頻率,是指當電壓增益降為中頻段 1/ 倍時之頻率。
75. 對於堆疊(Stack)記憶體及佇列(Queue)的儲存架構,下列敘述哪些正確? (A)佇列為先進先出 (B)堆 疊為先進先出 (C)堆疊為先進後出 (D)佇列為先進後出。
76. 下列有關儀表檢修的敘述哪些是正確的? (A)使用邏輯筆、示波器檢測信號時,可以讓探針同時接 觸兩個測量引腳 (B)電路板上最易遭受人體靜電損壞的 IC 為 TTL IC (C)大電力儀表的檢修在排除 故障前應穿好絕緣鞋和其他防護用品 (D)檢修電路板前應配戴防靜電手環。
77. 量測 5 V 的電壓時,若希望解析度至少可達到 1mV,則可以使用下列哪些位數的數位電壓表? (A)4 1/2 位 (B)6 1/2 位 (C)5 1/2 位 (D)3 1/2 位。
78. 如下圖電路所示,達靈頓電路中,忽略,下列敘述哪些正確?
(A)電流增益近似 400 (B)輸入阻 抗 近似 400kΩ (C) =100Vi (D)電壓增益為 200。
79. 下列哪些邏輯運算式具有反互斥或閘(NXOR)的功能? (A)(B)(C)(D) 。
80. 若 1 位元全加器的輸入與輸出變數分別為 A(被加數)、B(加數)、Ci (進位輸入)、S(和)與 C(進位輸 出),當選用 4x1 多工器設計時(如下圖所示)設計 C 時,可將 A 與 B 分別接到多工器的選擇線 S1 與 S0,而 0、1 與 當作 X0 ~X3 的輸入,則下列哪些正確?
(A) (B) (C)X0 =1 (D)X3 =0。