所屬科目:機械設計
一、圖示為三個矩形零件與一開槽零件的組合,其中 a、b 及 c 分別代表三個矩形零件的長度,d 係開槽零件的槽孔長度,w 為矩形與開槽零件組裝後的間隙。若已知該四個零件的基本尺寸與公差分別為 a = 36.6±0.025 mm、b = 50±0.075 mm、c = 63±0.15 mm 及 d = 150±0.25 mm,求組裝後間隙 w的最大值及最小值。當零件 B、C 及 D 的尺寸,以及各個零件的公差維持不變,要確保組裝後間隙 w ≧ 0.3 mm 時,求零件 A 所需之長度 a 的基本尺寸。(25 分)
二、某工程師針對直徑 d = 40 mm 及長度 L = 400 mm 的實心圓棒進行拉伸試驗,在線性彈性變形下,當該圓桿受到 P = 170 kN 拉伸負載的作用下,其長度增長了 0.27 mm,直徑則縮小了 0.008 mm。求該圓棒在上述條件下的軸向應力 σx、軸向應變 εx 及橫向應變 εy,並求該圓棒材料的楊氏係數 E 及柏松比(Poisson ratio)μ。(25 分)
三、下圖的二鋼板利用螺栓來接合以承受水平拉力 F 的作用,已知該螺栓抵抗剪力失效的剪應力面積 As = 225.2 mm2,剪應力降伏強度 Sys = 350 MPa。考慮安全因數 n = 2 條件下,求該螺栓的容許剪應力τall,並求其抵抗剪力失效時可承受的最大拉力 F。若在相同的容許剪應力下,當拉力提升為50000 N,試求螺栓所需的最小直徑以避免剪力失效。(25 分)
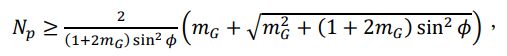
四、一對具有 25° 壓力角 與模數 m = 2 mm 的全深齒的鋼質正齒輪組,大齒輪與小齒輪的齒數比 mG= Ng/Np = 5。已知與大齒輪嚙合時不會發生干涉時的小齒輪齒數的公式為根據上述公式及已知條件,求該對齒輪組不會發生嚙合干涉的最少小齒輪齒數Np及大齒輪齒數Ng,並求大齒輪及小齒輪的節圓直徑,以及兩齒輪的中心距。(25 分)