阿摩線上測驗
登入
首頁
>
國中會考基測◆數學科
> 92年 - 92-2 國中基測:數學科#24763
92年 - 92-2 國中基測:數學科#24763
科目:
國中會考基測◆數學科 |
年份:
92年 |
選擇題數:
31 |
申論題數:
0
試卷資訊
所屬科目:
國中會考基測◆數學科
選擇題 (31)
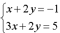
1. 求聯方程式
的解為何?
(A) x=2,y=
(B) x=3,y=1 (C) x=1,y=-1 (D) x=3,y=-2
2. 如圖(一),利用等臂天平比較甲、乙、丙、丁四個物品的重量。請問甲、乙、丙、丁四個物品中哪一個重量最輕?
(A)甲 (B)乙 (C)丙 (D)丁
3. 小英的家在坐標平面上的位置為P(-2,1)。x軸的正向指向東方,y軸的正向指向北方,如果從小英的家向東走3單位,再向南走4單位,就到達小華的家,那麼下列哪一個點表示小華家的位置?
(A) E(-5,5) (B) F(-5,-3) (C) G(1,5) (D) H(1,-3)
4. 如圖(二),直線L的方程式為x+y-3=0。請問P、Q、R、S四點中,哪一個點的坐標是此方程式的解?
(A) P (B) Q (C) R (D) S
5. 下列哪一個選項為〔(2x
2
+x-3)-(-x
2
-3x+4)〕÷(x-1)的商式?
(A) 3x-7 (B) 3x+7 (C) x-1 (D) x+1
6. 已知△ABC中, =4, =3,∠BAC=50∘。請問下列四個三角形中,哪一個與△ABC相似?
(A)
(B)
(C)
(D)
7. 已知線型函數f(x)=ax+b,其對應關係如表(一)。求β+γ=?
(A) 4 (B) 6 (C) 8 (D) 12
8. 若45可分解為a×b,其中a、b均為正整數,則下列哪一個不可能是a+b的值? (A) 46 (B) 42 (C) 18 (D) 14
9. 比較
四數的值,何者最大?
10. 如圖(三),三條直線L
1
、L
2
、L
3
中,L
1
與L
2
平行,L
1
與L
3
不垂直,下列哪一個關係是錯誤的?
(A) ∠1=∠6 (B) ∠2=∠8 (C) ∠3=∠7 (D) ∠4=∠6
11. 數列a,b,c為等差數列,公差為3。若數列a+5,b+10,c+15也為等差數列,則公差為何? (A) 3 (B) 5 (C) 8 (D) 15
12. 某年度全國高中職及五專錄取學生人數用四捨五入法,以千人為單位,其概數為300000人。下列何者不可能是正確的錄取學生人數? (A) 299500人 (B) 299501人 (C) 300500人 (D) 300499人
13. 求2001×2002-1999×2004之值為何? (A) 6 (B) 16 (C) 26 (D) 36
14. 如圖(四),△ASH為直角三角形,其中∠A=90∘,L為
的中垂線,交
於R點。若
=?
(A) 1.5 (B) 2 (C)
(D) 2.5
15. 若一元二次方程式x
2
-2x-323=0 的兩根為a、b,且a>b,則2a+b=? (A)-53 (B) 15 (C) 55 (D) 21
16. 在數線上,O為原點,A點的坐標為a,B點的坐標為b。利用下列三個已知條件,判斷A、B、O三點在數線上的位置關係。 已知條件:(1)a+b<0 (2)a-b>0 (3)ab>0 下列圖形何者正確?
17. 如圖(五),兩圓相交於A、B兩點。若C、B、D三點共線,弧BC=90∘,弧ABC=160∘,則弧ABD=?
(A) 100∘ (B) 160∘ (C) 200∘ (D) 280∘
18. 如圖(六),有若干位學生排出正五邊形的隊形,由內而外共排了6圈,且學生人數剛好排完。已知最內圈每邊3人,往外每圈每邊增加2人(即由內向外算起第2圈每邊5人,第3圈每邊7人,…)。請問此隊形的學生共有多少人?
(A) 210 (B) 240 (C) 285 (D) 630
19. 如圖(七),四邊形甲、乙、丙、丁的四邊各自等長。請問下列哪一個敘述是正確的?
(A)甲與乙相似 (B)甲與丙相似 (C)乙與丙相似 (D)丙與丁相似
20. 一台研磨機,在運轉20秒後開始研磨咖啡豆,之後每運轉10秒可磨掉50公克的咖啡豆。以這樣研磨速度,若要磨掉x公克的咖啡豆,則研磨機要運轉幾秒鐘?
(A)
× 10+20 (B)
× 10-20 (C)
× 50+20 (D)
× 50-20
21. 如圖(八),有一扇形, OA=8公分,∠AOB=135∘,求AB 的長為多少公分?
(A) 3π (B) 6π (C) 12π (D) 24π
22. 某一組資料有八個正整數,已知其中七個數為1,6,3,5,2,2,6。下列哪一個數不可能是這一組資料的中位數? (A) 3 (B) 3.5 (C) 4 (D) 4.5
23. 若一次函數f(x)=ax-3,其中a>0,則下列哪一個選項可能是此函數圖形?
24. 求
之值為何? (A) -10 (B)
(C)
(D)
25. 在坐標平面上,y=2x
2
-8的圖形經由下列哪一種方式移動後,可得到y= 2(x-5)
2
+12的圖形?
(A) 先向左移5單位,再向上移20單位 (B) 先向右移5單位,再向上移20單位 (C) 先向下移5單位,再向右移20單位 (D) 先向上移5單位,再向左移20單位
26. 如圖(九),圓上三弦 AB、 CD、EF ,欲在圓內找一點,使其到三弦的距離相等。下列四種做法中,哪一種是正確的?
(A)作 AB中垂線與CD 中垂線的交點 (B)做∠FAB角平分線與∠ABC角平分線的交點 (C)取AB 、CD 、EF 三邊中點M、N、L,作 MN中垂線與 ML中垂線的交點 (D)分別延長AB 與 CD交於P,分別延長AB 與EF 交於Q,作∠P角平分線與∠Q角平分線的交點
27. 在△ABC中,AB <AC ,AH ⊥ BC且H在 BC上,下列哪一個選項是正確的?
(A) ∠B=∠C (B) ∠B<∠C (C) ∠BAH=∠CAH (D) ∠BAH<∠CAH
28. 圖(十)是一坐標平面。已知籃框位置B點在y軸上,今有一選手將球從A點的位置投出,球經過的路徑是拋物線,由B點空心進籃。若此拋物線是下列某一函數的圖形,則此函數為何?
(A) y=6-
(x+2)
2
(B) y=6-
(x-2)
2
(C) y=6+
(x-2)
2
(D) y=6+
(x+2)
2
29. 兩個罐子裝有相同重量的酒精溶液,其中水與酒精的重量比分別為3:1和1:1,若將這兩罐溶液全倒入一個較大的容器中且沒有溢出,則後來所得的混合液中,水與酒精的重量比為何? (A) 2:1 (B) 3:2 (C) 4:1 (D) 5:3
30. 若已經開出01、02、03、04、05 五個號碼,則下一球開出號碼為06的機率是多少?
(A)
(B)
(C)
(D)
31. 若某一期的頭獎獎金總額為9000萬元,則該期貳獎獎金總額約為多少萬元?(用四捨五入法取到萬元)
(A) 236 (B) 1080 (C) 2842 (D) 3420
參考公式:
和的平方公式:(a+b)
2
=a
2
+2ab+b
2
差的平方公式:(a-b)
2
=a
2
-2ab+b
2
平方差的公式:(a+b)(a-b)=a
2
-b
2
一元二次方程式ax
5
+bx+c=0(a
0)的解為
x=
直角三角形ABC,兩股長為a、b,斜邊長為c,則c
2
=a
2
+b
2
若一個等差數列的首項為a
1
,公差為d,第n項為a
n
,其等差級數和為 S
n
, 則則 a
n
=a
1
+(n-1)d,S
n
=
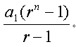
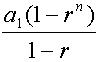
, 若一個等比數列的首項為a
1
,公比為r,第n為a
n
,其等比級數的和為 , 則(1)當r=1時,a
n
=a
1
,S
n
=n a
1
, (2)當r
1 時,則 a
n=
a
1
r
n-1
,S
n
=
或S
n
=
若圓的半徑為r,圓周率為πr
2
,則圓面積= ;圓周長=2πr
申論題 (0)
相關試卷
114年 - 114 國中教育會考:數學#127076
114年 · #127076
113年 - 113 張進通許世賢教育文教基金會_雲嘉南區國中數學能力競試試題:數學(二)#124230
113年 · #124230
113年 - 113 張進通許世賢教育文教基金會_雲嘉南區國中數學能力競試試題:數學#124229
113年 · #124229
113年 - 113 國中教育會考 :數學#119879
113年 · #119879
112年 - 112 張進通許世賢教育文教基金會_雲嘉南區國中數學能力競試試題:數學一#124231
112年 · #124231
112年 - 112 國中教育會考(大陸考場):數學#116361
112年 · #116361
112年 - 112 國中教育會考:數學#114306
112年 · #114306
111年 - 111 國中教育會考(參考試題):數學科#113403
111年 · #113403
111年 - 111 國中教育會考(補考):數學科#113398
111年 · #113398
111年 - 111 國中教育會考:數學#108009
111年 · #108009