所屬科目:高中指考◆物理
1. 如 圖 1 所示,一輕繩跨過定滑輪, 兩端各懸掛三個質量皆相等的木塊,呈平衡狀態。 現將右端的一個木塊取下,改掛至左端,如圖 2 所示。若摩擦力可不計,試問繩上 張力變為原來平衡狀態時的幾倍? (A)(B) (C) (D) (E)
2. 長度為 L 的張緊弦線兩端固定,設弦線作橫向振動時,弦波的波速為 v。試問下列何 種弦線振動時,最有可能讓人看到如圖 3 所示,弦線在兩最大位移間振動的視覺暫 留影像?假設視覺暫留時間為 秒。 (A) L = 0.20 m; v = 2.0 m/s (B) L = 0.30 m; v = 4.0 m/s (C) L = 0.40 m; v = 8.0 m/s (D) L = 0.50 m; v = 8.0 m/s (E) L = 0.60 m; v = 8.0 m/s
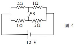
3. 圖 4 所示的電路中,當開關 S 斷開時,流經電池的電流以 I O 表示,開關接通時流經 電池的電流以 I C 表示。若不計電池的內電阻,則 I O 與 I C 各為何值?
(A) I O = 8 A; I C = 9 A (B) I O = 6 A; I C = 8 A (C) I O = 8 A; I C = 6 A (D) I O = 9 A; I C = 6 A (E) I O = 9 A; I C = 10
4. 圖 5 所示為頻率 1000 Hz 的聲源以等速度移動時,所發出的球面波分布情形,每個球 面波相隔一個週期,圖中相鄰兩格線的間距都相等。已知聲速為 340 m/s,則此聲源 移動的速率約為多少 m/s ? (A) 100 (B) 272 (C) 350 (D) 428 (E) 567
5. 兩平行的平面鏡 A 與 B 相 距 24cm,一點光源 S 位 在 A 鏡的前方 8.0cm 處,如圖 6 所 示。試問從點光源 S 所發出的光線,先經 A 面鏡反射一次,再經 B 面鏡反射一次後 的成像,其 z 坐標為何? (A) z = -8.0 cm (B) z = -32 cm (C) z = +32 cm (D) z = +56 cm (E) z = +64 cm
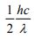
6. 以波長為 λ 的光照射某金屬表面,所放出電子的最大動能為 T。若改用波長為的 光照射,則所放出電子的最大動能為 3T。試問 T 為何?選項中 h 為卜朗克常數, c 為 光速。 (A) (B) (C) (D) (E)
7. 如 圖 7 所示,一束波長為 λ 的可見光平行光束,垂直通過一條寬度 d = 2 λ 的長條形狹 縫後,在遠方屏幕 C 上形成繞射條紋。若使遮闌 B 靠近屏幕 C,且遮闌的缺口對狹 縫中心 O 的張角 φ為 4 5°,則 屏 幕 C 上出現的亮紋對 O 的張角與下列何者最為接近?
(A) 1 5° (B) 3 0° (C) 4 5° (D) 6 0°(E) 7 5°
8. 一原子最低的幾個能階如圖 8 所 示。當 此 原 子 與 動 能 為 7.5 eV 的電子碰撞而受激後, 此原子發出的光子,其波長最長可達多少 n m? (A) 105 (B) 273 (C) 428 (D) 534 (E) 690
10. 載流螺線管內部的磁場( B )正比於電流 ( I 2 ),即 B = αI 2。小明利用電流天平裝置,測 量比例常數 α。他將小重物的重量固定為 5 0 毫克重。實驗時 ,他將螺線管電流 I 2 作 為主變數,電流天平電流 I 1 作為應變數,量得在平衡時, I 1 與 I 2 的關係數據,如下 表所示。試問比例常數 α 的數值為何 ? (α 的單位為特士拉/安培) (A)(B) (C) (D) (E)
11. 在光滑水平面上,有一正三角形的均勻面板,現以如圖 1 0 所示的幾種方式施水平 力,圖中各力的大小都相等 (施力與面板邊緣的夾角為 0°、 6 0 °、 9 0°、 120 °或 150°)。試問下列圖中,哪些施力方式會使面板轉動而不會移動? (A) 甲 (B) 乙 (C) 丙 (D) 丁 (E) 戊
12. 溫度為 - 1 0 ℃、質量為 10g 的冰,若每秒固定吸收 1.0 cal 的熱量,在到達如圖 1 1 所示的 D 狀態時,完全轉換成溫度為 2 0 ℃ 的水。此圖呈現冰(或水)的溫度 T ( ℃) 隨時間 t(s)變化關係的示意圖(未完全依比例作圖)。已知冰的熔化熱為 80 cal/g, 水 與冰的比熱分別為 1.00 cal/ (g ·℃)及 0.50 cal/ (g · oC)。下列敘述中,哪些正確? (A) t B - t A = 50 秒 (B) t C - t B = 600 秒 (C) t D - t C = 300 秒 (D) t B → t C 時段內,冰與水共存 (E) CD 線段的斜率為 A B 線段斜率的 0.5 倍
13. 如 圖 1 2 所示的電路中,交流電源的最大電壓為 12.0 V,理想變壓器的原線圈與副 線圈的匝數比為 2:1,二 極 體 可 視 為 理 想 的 整 流 器:順 向 偏 壓 時,二 極 體 形 同 短 路; 逆 向 偏 壓 時,二 極 體 形 同 斷 路,電 阻 R = 5.0 Ω。電 阻 R 兩端的電位差 (或稱電壓 ) 定義為 = V A -V B, V A 和 V B 分別為 A 點 和 B 點的電位。 試問下列敘述中,哪些正確? (A) 的最大值為 4.0V (B) 的最小值為 0 V (C) 流經電阻 R 的電流為直流 (D) 流經電阻 R 的平均電流為零 (E) 流經電阻 R 的最大電流值為 0.8A
14. 平板車在水平面上以速度 v G 向 右 做 等 速 運 動,車 上 有 一 小 球 由 板 車 地 板 上 向 右 上 方 被 拋出,如圖 1 3 所示。小球相對於板車之初 速 大 小 等 於 車 速,方 向 與 車 速 方 向 夾 θ 角 , 且 tanθ = 4/3。小球初速、重力加速度及車 速三者位在同一平面上。小球被拋出後,因 受重力影響,又落回 車上。若不計空氣阻 力,則下列敘述中,哪些正確? (A) 車內觀察者所觀測到小球的運動軌跡為一段拋物線 (B) 車外觀察者所觀測到小球的運動軌跡為一段拋物線 (C) 車外觀察者所觀測到小球停留在空中的時間較車內觀察者為短 (D) 車內觀察者所觀測到小球運動的最大高度 (從地板算起 ),是車外觀察者的 8 ⁄ 3 倍 (E) 車內觀察者所觀測到小球的水平位移是車外觀察者的 3 ⁄ 8 倍
15. 一條各處深度都相同的水平 河流,當垂直俯視其中一段河面時,其河道寬度不一, 如 圖 1 4 所示。圖中相鄰兩條流線間的每道 水流,每單位時間流通的水量都相同。若 河水不具壓縮性,流動時無摩擦損耗,且 河道各點的水流速度不隨時間而變,則下 列有關此段河流的敘述,哪些正確? (A) 每條水道的水流速率,由左到右逐漸變小 (B) 每條水道的水流壓力,由左到右逐漸變大 (C) 每單位時間內由河道左端流入的水量大於由右端流出的水量 (D) 每條水道 左端進口的水流速率小於其右端出口的水流速率 (E) 每條水道 左端進口的水流壓力大於其右端出口的水流壓力
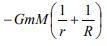
16. 一系統由可視為質點的甲、乙兩星球組成,其質量分別為 m 與 M (M > m ),在彼 此間的重力作用下,分別以半徑 r 與 R 繞系統的質心 O 做圓周運動。若質心 O 靜 止 不動,兩星球相距無窮遠時,系統的總重力位能為零,則下列敘述, 哪些正確?(G 為重力常數,亦即萬有引力常數) (A) 兩星球的動量和為零 (B) 兩星球的動能相等 (C) 兩星球繞 O 運動的週期相等 (D) 兩星球的總重力位能為 (E) 兩星球的質量與繞行半徑有 m R = M r 的關係
18. 邊長分別為 2 a 和 a 的 正 方 形 線 圈 係 由 相 同 材 質 及 粗 細 的 導 線 所 繞 成,如 圖 1 5 所 示。 甲 乙 丙 丁 迴 路 上 的 導 線 電 阻 可 不 計;邊 長 a 的線圈電阻為 R。兩 線 圈 面 平 行 於 紙 面 , 有一均勻磁場 B 垂直進入紙面,甲乙丙丁的長方形圈面與磁場方向平行。試問當磁 場以時變率 b 增加時,下列敘述,哪些正確? (A) 邊 長 2 a 的線圈電阻是邊長 a 線圈電阻的 2 倍 (B) 流經邊長 2 a 線圈上的電流大於流經邊長 a 線 圈上的電流 (C) 邊 長 2 a 線圈上的感應電動勢是邊長 a 線圈上 感應電動勢的 2 倍 (D) 丙丁線段上的電流由丙流向丁 (E) 丙丁線段上的電流大小為 a 2 b /R