阿摩線上測驗
登入
首頁
>
水文學
> 96年 - 96 地方政府特種考試_三等_水利工程:水文學#34433
96年 - 96 地方政府特種考試_三等_水利工程:水文學#34433
科目:
水文學 |
年份:
96年 |
選擇題數:
0 |
申論題數:
5
試卷資訊
所屬科目:
水文學
選擇題 (0)
申論題 (5)
一、有一直徑為 1 mm 之雨滴自靜止之空氣中降落,假設水及空氣之密度分別為 1,000 kg /m
3
及 1.2 kg/m
3
,空氣對水滴之阻力係數為 0.67,試求此一雨滴之終端速度。(20 分)
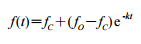
【已刪除】二、假設土壤之入滲遵循 Horton 入滲公式,其公式如下:
上式中,f
O
為初始入滲率,f
C
為最終入滲率,k 為衰減常數。已知某場降雨各時刻之 降雨強度均大於入滲率,且 f
O
=10 cm/hr,經過二小時降雨後,入滲率降為1.25 cm/hr, 經此二小時之總入滲深度為 4.25 cm,試求 k 值。(20 分)
三、假設某地區相鄰二場降雨之間隔日數可由指數分佈來推估,其機率密度函數為: f(t)=λ e
-λt
上式中,t 為間隔日數,λ 為待定參數。該地區數場降雨之間隔日數分別為 2.4、4.6、 15.8、28.0、7.8、11.3、17.9、32.0、19.2、23.5 日,根據此一紀錄,試求該地區相 鄰二場降雨間隔日數小於或等於 12 日之機率。(20 分)
【已刪除】四、有一水庫之蓄水量與出流量之關係如下:
水庫之入流量歷線如下:
水庫之初始蓄水量為 52×10
6
m
3
,試求水庫之出流歷線。(20 分)
【已刪除】五、有一集水面積為 200 km
2
之流域,可以如下之三角形單位歷線來代表其降雨與逕流 關係。已知該流域之 t
r
=2 hr,t
P
=5 hr,其中 tr 為有效降雨延時,t
P
為稽延時間(lag time)。試求連續三小時有效降雨強度為 4 cm/hr 下之直接逕流歷線。(20 分)
相關試卷
114年 - 114 地方政府公務特種考試_三等_水利工程:水文學#134678
114年 · #134678
114年 - 114 地方政府公務特種考試_四等_水利工程:水文學概要#134671
114年 · #134671
114年 - 114 專技高考_水利工程技師:水文學#133647
114年 · #133647
114年 - 114 公務升官等考試_薦任_水利工程:水文學#133156
114年 · #133156
114年 - 114 高等考試_三級_水利工程:水文學#128745
114年 · #128745
114年 - 114 普通考試_水利工程:水文學概要#128617
114年 · #128617
114年 - 114 身心障礙特種考試_三等_水利工程:水文學#126637
114年 · #126637
113年 - 113 地方政府公務特種考試_三等_水利工程:水文學#124455
113年 · #124455
113年 - 113 地方政府公務特種考試_四等_水利工程:水文學概要#124423
113年 · #124423
113年 - 113 專技高考_水利工程技師:水文學#123957
113年 · #123957