阿摩線上測驗
登入
首頁
>
初等/五等/佐級◆電子學大意
> 96年 - 96 地方政府特種考試_五等_電子工程:電子學大意#49298
96年 - 96 地方政府特種考試_五等_電子工程:電子學大意#49298
科目:
初等/五等/佐級◆電子學大意 |
年份:
96年 |
選擇題數:
40 |
申論題數:
0
試卷資訊
所屬科目:
初等/五等/佐級◆電子學大意
選擇題 (40)
1 一般而言,相較於雙極性接面電晶體(bipolar junction transistor),金氧半場效電晶體(MOSFET) 之特性,下列敘述何者正確? (A) 金氧半場效電晶體之輸入阻抗較高,增益較高 (B)金氧半場效電晶體之輸入阻抗較高,增益較低 (C)金氧半場效電晶體之輸入阻抗較低,增益較高 (D)金氧半場效電晶體之輸入阻抗較低,增益較低
2 n 通道空乏型 MOSFET 工作時閘極電壓為何? (A) 僅為正電壓 (B)僅為負電壓 (C)可為正或負電壓 (D)必須接地
3 在一共射極 BJT 電晶體電路中,射極電流為 5mA,基極電流為 0.1mA,則電晶體之電流增益為? (A) 39 (B) 49 (C) 59 (D) 69
4 若要實現一個好的電壓放大器之輸出級時,應採用那一種放大器組態? (A)共射極(Common Emitter) (B)共集極(Common Collector) (C)共基極(Common Base) (D)共閘極(Common Gate)
5 如右圖所示之電路,其直流偏壓之基極電流為:
(A) I
B
=(V
CC
-0.7)/(R
B
+R
C
)
(B) I
B
=(V
CC
-0.7)/[βR
B
+R
C
]
(C) I
B
=(V
CC
-0.7)/[(1+β)(R
B
+R
C
)]
(D) I
B
=(V
CC
-0.7)/[R
B
+(1+β)R
C
]
6 有關右圖退化的共源放大器(Common Source VDD RD amplifier with source degeneration)中 R
s
的作用,下列何者不是 R
s
所提供的功能?
(A) R
s
增加放大器的電壓增益 (B) R
s
改善放大器的線性度 (C) R
s
提高放大器頻率響應的頻寬 (D) R
s
降低放大器內偏壓點因不同電晶體而產生的變異性
7 如右圖所示的電路方塊圖。若是理想振盪器,則其 必須符合的條件為何?(註:∣A(s)β(s)∣及 - ∠A(s)β(s)分別為 A(s)β(s)的大小及相角)
(A)∣A(s)β(s)∣=1,∠A(s)β(s)=90 度
(B)∣A(s)β(s)∣<1,∠A(s)β(s)=0 度
(C)∣A(s)β(s)∣=1 及∠A(s)β(s)=0 度
(D)∣A(s)β(s)∣=1 及∠A(s)β(s)=180 度
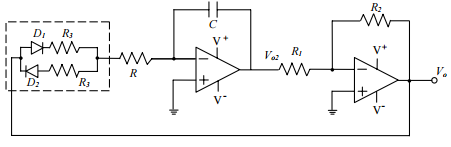
8 如右圖所示的振盪器電路,其中虛線所標示之電 R2 路的主要功能為何?
(A)改變輸出信號電壓的振幅 (B)改變輸出信號的相位(C)改變輸出信號的責任週期(duty cycle)(D)改變輸出信號的電流
9 有關弦波振盪器的敘述,下列何者正確? (A)必須為正回授 (B)迴路增益略小於 1 (C)具有穩定的交流電源供應 (D)是一種多諧振盪器
10 RC 相移振盪器最少必須使用幾組 RC 電路串聯才能完成? (A)二 (B)三 (C)四 (D)五
11 下列有關右圖電路之敘述,何者正確?
(A) R2 增大則頻寬變大 (B) R1 增大則頻寬變大 (C) C2 變小則頻寬變大 (D) R1 增大則低頻增益變大
12 史密特(Schmitt)觸發電路的輸出波形為: (A)方波 (B)正弦波 (C)三角波 (D)鋸齒波
13 相對於單級放大器而言,對於串接放大器的增益與頻寬之敘述,下列何者正確? (A)增益變大,頻寬變寬 (B)增益變大,頻寬變窄 (C)增益變小,頻寬變寬 (D)增益變小,頻寬變窄
14 如右圖,在 ωL 附近,增益∣A∣的下降是受何種 ∣A(ω) ∣ 因素的影響?
(A)耦合電容 (B)寄生電容 (C)電晶體的內部電容 (D)輸入阻抗太大
15 一單級放大器的低頻截止頻率為 1kHz,高頻截止頻率為 10kHz,若將兩個相同放大器串接後,則串 接系統的低頻截止頻率為: (A) 707Hz (B) 1kHz (C) 1.55 kHz (D) 7.07 kHz
16 所謂半功率點,是指電壓增益變化為中頻增益的若干倍? (A) 0.5 倍 (B) 0.707 倍 (C)1倍 (D) 1.414 倍
17 交換函數
,經化簡後之最後結果為: (A)1 (B)a (C) a+c (D) a+b+c
18 下列關於 CMOS 反相器電路之敘述,何者為非? (A)在不考慮電晶體漏電下,靜態功率消耗為零 (B)暫態電流等於電容充放電電流 (C)輸入電壓為 0V 時,則輸出點電壓為由高降低 (D)靜態時,輸出電壓與元件大小無關
19 下列何種記憶體是屬於揮發性的記憶體(volatile memory)? (A)靜態隨機存取記憶體(SRAM) (B)快閃記憶體(Flash Memory) (C)可程式唯讀記憶體(PROM) (D)唯讀記憶體(ROM) IC
20 如下圖一所示之放大器電路,已知雙載子接面電晶體參數
,其直流等效電路如圖二所示,其中 V
B
為:
21 如圖示電路,若 I
B
=0,則下列關係何者正確?
22 雙極性接面電晶體中,I
CEO
與 I
CBO
之比值為: (A) α
F
(B) 1+αF (C) β
F
(D) 1+β
F
23 若把正常的雙極性接面電晶體的射極和集極交換操作時,為何直流電流增益(β)會下降? (A)基極變厚 (B)基極注入射極的電流增加 (C)功率消耗增加 (D)基板效應更嚴重
24 雙極性接面電晶體(BJT)作為放大訊號的主要機制是: (A)基極區的少數載子的擴散電流 (B)射極區的多數載子的漂移電流 (C)集極區的逆向偏壓 (D)基極區的載子復合作用
25 下列何種組態之電路具有很高的輸入阻抗及很低的輸出阻抗? (A)共射極組態 (B)共集極組態 (C)共基極組態 (D)疊接(cascode)組態
26 如右圖所示的運算放大器應用電路,其輸出電壓,v
o
(t)=?
27 右圖為利用一個實際運算放大器製做的電壓隨耦器, 當輸入 v
I
為一步級函數時,其對應的輸出波形應為:
28 某兩級放大器,各級的功率增益分別為 100 倍及 10dB,若無負載效應則其總功率增益為: (A) 110dB (B) 50dB (C) 30dB (D) 12dB
29 有關達靈頓(Darlington)放大電路的敘述,下列何者正確? (A)輸入阻抗高 (B)電壓增益高 (C)電流增益低 (D)只須使用一個電晶體
30 如右圖所示電路,輸出電壓 V
o
=?
(A)-3mV (B) 3mV (C)-23mV (D) 23mV
31 若要將右圖的運算放大電路,改成積分器, R
2
則下列何者正確?
(A)將 R
1
改用電容器 (B)將 R
2
改用電容器 (C)將 R
1
、R
2
均改用電容器 (D)將 R
2
開路
32 迴轉率(Slew rate)為 15V/µ s 的運算放大器,若輸出電壓由零變化到 12V,需要多少時間? (A) 2.5µ s (B) 1.25µ s (C) 0.8µ s (D) 0.4µ s
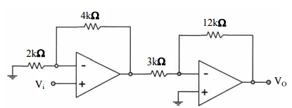
33 如圖所示運算放大器電路,若輸入電壓為 V
i
=1mV,則其輸出電壓 V
o
應為:
(A) 12mV (B)-12mV (C) 8mV (D)-8mV
34 X 及 Y 為兩個獨立的電壓放大器,其電壓增益分別為 A
1
及 A
2
,輸入阻抗分別為 R
i1
及 R
i2
,輸出阻 抗分別為 R
o1
及 R
o2
,今將 X 的輸出端接至 Y 的輸入端,則連接後整體電路的輸出端開路電壓增益為:
(A) A
1
+A
2
(B) A
1
‧A
2
(C)
(D)
35 假設使用理想的電容,並將二極體(diode)視為一理想開關,今輸入交流信號 v
i
=10×sin(ω‧t) V, 則二極體 D
1
在電路中所承受瞬間最大逆向電壓(reverse peak voltage)最接近的電壓值為:
(A) 5V (B) 10V (C) 15V (D) 20V
36 下列有關 pn 接面二極體在順向偏壓下之敘述,何者正確? (A)空乏區(Depletion Region)寬度會增加 (B) P 型中的電子會跨過接面進入 N 型 (C)大量的電子會注入 P 型材料中 (D) PN 接面兩端之電壓為零
37 下列有關 PN 二極體之逆向飽和電流(reverse saturation current)的敘述,何者正確? (A)逆向飽和電流的方向是由 P 型朝 N 型流動 (B)逆向飽和電流會隨溫度升高而減少 (C)逆向飽和電流是由少數載子(minority carrier)所構成 (D)逆向飽和電流甚大於順向電流
38 有一個二極體電路如圖 1 所示,輸入端電壓為 v
i
=V
m
‧sin(ω‧t),Vm 為振幅值,今利用示波器顯示輸 入端與輸出端的電壓波形 v
i
(t)、v
o
(t)如圖 2 所示,其中 v
i
(t)的波形為虛線,v
o
(t)的波形為實線。則在 穩態中最接近二極體 D 導通週期開始的時間點為:
(A) t
1
(B) t
2
(C) t
3
(D) t
4
39 半導體材料之導電率大小與下列何種因素無關? (A)載子濃度 (B)溫度 (C)材質 (D)外部形狀
40 分析小信號等效電路時,為了得到電路對時變(time-varying)輸入信號的反應,須將直流電壓源設 定為: (A)無窮大 (B)零 (C)一半 (D)原值
申論題 (0)
相關試卷
115年 - 115 初等考試_電子工程:電子學大意#136710
115年 · #136710
114年 - 114 初等考試_電子工程:電子學大意#124880
114年 · #124880
113年 - 113 初等考試_電子工程:電子學大意#118527
113年 · #118527
112年 - 112 地方政府特種考試_五等_電子工程:電子學大意#118362
112年 · #118362
112年 - 112 鐵路、國家安全情報特種考試_佐級、五等_電子工程、電子組:電子學大意#114944
112年 · #114944
112年 - 112 身心障礙特種考試_五等_電子工程:電子學大意#113943
112年 · #113943
112年 - 112 初等考試_電子工程:電子學大意#112891
112年 · #112891
111年 - 111 地方政府特種考試_五等_電子工程:電子學大意#112600
111年 · #112600
111年 - 111 鐵路特種考試_佐級_電子工程:電子學大意#108515
111年 · #108515
111年 - 111 初等考試_電子工程:電子學大意#105667
111年 · #105667