阿摩線上測驗
登入
首頁
>
作業研究
> 96年 - 96 專技高考_工業工程技師:作業研究#33079
96年 - 96 專技高考_工業工程技師:作業研究#33079
科目:
作業研究 |
年份:
96年 |
選擇題數:
0 |
申論題數:
9
試卷資訊
所屬科目:
作業研究
選擇題 (0)
申論題 (9)
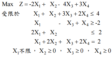
【已刪除】一、用線性規劃單純法(Simplex Method)之大 M 法(Big M Method),解以下問題: (20 分)
⑴作出以作業為箭線的網狀圖(依 PERT 之標準作法)。(8 分)
⑵在網狀圖上計算並標明,計算出上表中 A 至 N 各作業的各空格的項目,並將整 個表寫在答案卷上。(7 分)
⑶找出要徑(Critical Path)。(5 分)
⑴先定出等候系統之狀態,再畫出轉移速率圖(rate diagram)。(8 分)
⑵根據⑴寫出平衡方程式(balance equation)。(7 分)
⑶計算等候系統的平均顧客數。(5 分)
【已刪除】四、用動態規劃(Dynamic Programming)解以下問題:(20 分)
(註:本題一定要用動態規劃方法解,其他方法如線性規劃⋯等等,均不予計分。 各變數 1 X2 X , 均不是整數,而是非負的“連續數",不可以當作整數來做。 再者,各限制式均為不等式,不是等式,當然不可由限制式找出 X 之間的關 係,再反代回去的方法來做。)
【已刪除】五、有以下運輸問題,從運出點 i 到接收點 j 的每單位運費如下表:
試用運輸問題解法(不是 Simplex Method),求出從各運出點到各接收點的最佳運 送量,以使總成本最小。必須先以西北角法(Northwest corner rule)求出起始基本 變數,(5 分)再逐步找出最優解。(15 分)
相關試卷
114年 - 114 地方政府公務特種考試_三等_工業工程:作業研究#134713
114年 · #134713
114年 - 114 專技高考_工業工程技師:作業研究#133680
114年 · #133680
114年 - 114 高等考試_三級_工業工程:作業研究#128750
114年 · #128750
113年 - 113 地方政府公務特種考試_三等_工業工程:作業研究#124521
113年 · #124521
113年 - 113 專技高考_工業工程技師:作業研究#123885
113年 · #123885
113年 - 113 高等考試_三級_工業工程:作業研究#121489
113年 · #121489
112年 - 112 地方政府特種考試_三等_工業工程:作業研究#118325
112年 · #118325
112年 - 112 專技高考_工業工程技師:作業研究#117594
112年 · #117594
112年 - 112 公務升官等考試_薦任_工業工程:作業研究#117328
112年 · #117328
112年 - 112 高等考試_三級_工業工程:作業研究#115450
112年 · #115450