阿摩線上測驗
登入
首頁
>
公職◆渠道水力學
> 96年 - 96 高等考試_三級_水利工程:渠道水力學#33776
96年 - 96 高等考試_三級_水利工程:渠道水力學#33776
科目:
公職◆渠道水力學 |
年份:
96年 |
選擇題數:
0 |
申論題數:
7
試卷資訊
所屬科目:
公職◆渠道水力學
選擇題 (0)
申論題 (7)
【已刪除】⑴
【已刪除】⑵
【已刪除】⑶
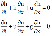
【已刪除】二、試利用特性法(method of characteristics)求解下列之一維淺水波方程式(shallow water equation):
並述明其正確之邊界條件(需含蓋所有流況,包括亞臨界流、臨界流及超臨界流)。 (20 分)
三、一矩形渠道,渠道寛度為 3 m,曼寧係數 n=0.015,流量 Q=15cms,求其臨界坡降? 若發生水躍,水躍前之福祿數為 1.6,求水躍後之福祿數?(20 分)
四、在一維渠道水力演算(hydraulic routing)中,常使用運動波(kinematic wave),擴 散波(diffusion wave)及動力波(dynamic wave)等模式。試說明其基本原理、使 用條件限制、優缺點,並舉例說明其在工程應用之適用性。(20 分)
五、試寫出一維水流及泥沙演算之水理方程式及其適當之邊界條件,並需含蓋所有流況, 如亞臨界流、臨界流及超臨界流。說明假設條件及如何建構數值模式。(20 分)
相關試卷
114年 - 114 地方政府公務特種考試_三等_水利工程:渠道水力學#134750
114年 · #134750
114年 - 114 專技高考_水利工程技師:渠道水力學#133580
114年 · #133580
114年 - 114 高等考試_二級_水利工程:渠道水力學#131584
114年 · #131584
114年 - 114 高等考試_三級_水利工程:渠道水力學#128731
114年 · #128731
113年 - 113 地方政府公務特種考試_三等_水利工程:渠道水力學#124529
113年 · #124529
113年 - 113 專技高考_水利工程技師:渠道水力學#123919
113年 · #123919
113年 - 113 高等考試_二級_水利工程:渠道水力學#123047
113年 · #123047
113年 - 113 高等考試_三級_水利工程:渠道水力學#121492
113年 · #121492
112年 - 112 地方政府特種考試_三等_水利工程:渠道水力學#118350
112年 · #118350
112年 - 112 專技高考_水利工程技師:渠道水力學#117621
112年 · #117621