阿摩線上測驗
登入
首頁
>
應用力學
> 97年 - 97 經濟部所屬事業機構_新進職員甄試_土木、機械檢修、機械製造、航空結構:應用力學#35866
97年 - 97 經濟部所屬事業機構_新進職員甄試_土木、機械檢修、機械製造、航空結構:應用力學#35866
科目:
應用力學 |
年份:
97年 |
選擇題數:
50 |
申論題數:
0
試卷資訊
所屬科目:
應用力學
選擇題 (50)
1.如右圖所示,一質量為m(kg)之工人,為使自己支承於椅子上,所需下拉於 繩上之力P為多少mx9.8(N) ? (A) 1/5 (B) 1/4 (C) 1/3 (D) 1/2
2.—部汽車以等速率V繞著曲率半徑為ρ的高速公路上行駛,試求出其加速 度的法線分量a
n
為何?
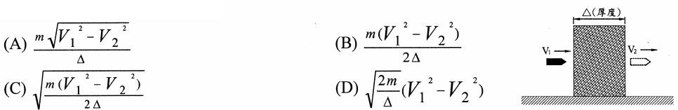
3•—質量為m之子彈以V
1
之速度射入一厚度為△之木板,子彈貫穿木板後以速度V
2
穿出,試 求木板對子彈之平均阻力為:
4.如右圖所示,一質量為6kg之圓柱軸環靜止落下,掉在緩衝彈簧 (k=12kN/m)上,試求當彈簧被壓縮50 mm時,此環之速度v(m/sec)為: (A) 2.4 m/sec (B) 4.8 m/sec (C) 12.5 m/sec (D)25.2 m/sec
5.—質量250 kg之衝桿自距樁上空1.2m處自由落下,撞擊質量400 kg之樁 ,起初埋於地下深度0.9m,假設撞擊後瞬間,衝桿速度為零,試求撞擊 後瞬間樁的速度V'(m/sec)為:
(A)1.6m/sec (B)2.2m/sec (C)2.8m/sec (D)3.0m/sec
【題組】
自水平位置θ=0°靜止釋放,試求此桿轉至任意角度θ時,角加速 度為何?
【題組】
7.承上題,此桿最大角加速度,發生於θ角為多少度時? (A)0° (B)45° (C)60° (D)90°
【題組】
8.承第6題,此桿通過垂直位置(θ=90°)時的角速度ω為何?
9.某一塊含有金屬之岩石,在空氣中重為1.6N,而沉沒在水中重為1.2N,則其比重推估應為 多少? (A) 3.2 (B) 3.6 (C) 3.8 (D) 4.0
10•右圖所示之結構,A端為固定端,已知有一力P作用於點B,試求當θ角 度為多少時,此力對於點A有最大之彎矩: (A)0° (B)30° (C) 45° (D) 90°
11•一顆石頭自斷崖峭壁頂端自由落下,1秒後第二顆石頭在同地點以20 m/sec之速度垂直投下,試問距峭壁頂端以下多遠,第二顆石頭將追上第 一顆石頭? (A) 21.48 m (B) 5.37 m (C) 10.74 m (D) 15.7 m
物體與表面之間摩擦係數為 0.20,試問需施多大水平力以維持其運動? (A) 19.6N (B) 29.4N (C) 1.96N (D) 23.3N
13.承上題,如果停止施力,則多久時間該物體將停止移動? (A) 0 sec (B) 2.55 sec (C) 1 sec (D) 2.17 sec
14.一座桁架如右圖所示,試求AD桿件之受力 大小? (A) 2000/3 lb (壓) (B) 2500/3 lb (拉) (C) 2500/3 lb (壓) (D) 2000/3 lb (拉)
15.如右圖所示為L型機構及受力情形,試求A點 之力矩大小為: (A) 740 in-lb
(B) 900 in-lb
(C) 1060 in-lb
(D) 800 in-lb
16.試求右圖所示懸臂梁反作用力矩之大小為: (A)9150 ft-lb
(B) 5416 ft-lb
C) 3626 ft-lb
(D) 3626 ft-lb
17•試求右圖重疊組合構件之形心(centroid)座標
,
位置? (A)
=5.5in,
=6in (B)
=5.5in,
=8in (C)
=5.5in,
=7.28in (D)
5.5in,
=7.82in
18•—作用力
,已知 10F=F
1
,且F
1
=220lb, 則x= ? (A) ±9 (B) 土 18 (C) 土 27 (D) 土 15
【題組】
其中DE係垂直於 OA,梯子重量為40 lb,且OD=1/4 OA,而OB = 3/4 OA,試問當一位 160 lb的人爬至B點時,該繩之張力T為: (A)120lb (B)130lb (C)140lb (D)150lb
20.承上題,同條件下則O點之反力Oy為: (A) 200 lb (B) 180 lb (C) 250 lb (D) 270 lb
【題組】
21•承第19題,同條件下則A點之反力Ax為: (A) 70 √3 lb (B) 68 √3 lb (C) 50√3 lb (D) 80 √3 lb
22.右圖為一滾筒A,其重量為101b,放置於水平表面及一桿件 之下,若與該滾筒所有接觸面之表面磨擦力皆相同為μ,忽略 桿件重量,試求當桿件自由端施以向下拉力P= 120 lb時,仍 使滾筒維持不滑動之情況下,其最小摩擦係數μ值為:
23.—固定滑輪與皮帶間之摩擦係數0=0.3,拉力P = 20001b,如右圖所示, 今如欲使該力能保持,則W之最大重量為(e
03π
=2.565): (A) 4500 lb (B) 6666 lb (C) 4800 lb (D) 5132 lb
【題組】
其加速度a=-kv,k為一常數, 已知起始條件,當t=0時,y=0,v=v
0
,試問速度v與y之關係式為: (A) v=v
0
—ky (B) v=v
0
+ky
2
(C) v=v
0
—kv+y (D) v=v
0
+kv+y
2
【題組】
25.承上題,速度v與t之關係式為: (A) v=voe
2t
(B) v=v0t
2
(C) v=voe
-kt
(D) v=v0e
-t
【題組】
試求連桿AB之角速度ω
AB
= ?
【題組】
27.承上題,連桿BC之角速度ω
BC
則為:
【題組】
28•承第26題及圖,B點之速度為:
29.—平坦底面之方塊以24 ft/sec之初始速度在一同材質 且平坦表面之水平面上滑動,此方塊滑行42 ft後靜止, 試問該材料之摩擦係數μ為: (A) 0.113 (B) 0.192 (C) 0.213 (D) 0.247
30.—質點重量為W,以等速v沿一水平圓形路徑移動,其半徑為r, 當t=0時,該質點在x軸上,則以直角座標描述運動關係式為:
(A) x=r•cos(vt/r),y=r•sin(vt/r)
(B) x=r • cos(r/vt),y=r • sin(r/vt)
(C) x=cos(vt/r),y=sin(vt/r)
(D) x=r • cos(vt),y=r • sin(vt)
31•右圖之結構系統,各桿件之彎曲剛度El均相等,此系統之 挫曲荷重Pcr為何?
32.右圖各段繩索之内力中,那一段所受内力最高? (A)AB 段 (B)BC 段 (C)CD 段 (D)DE 段
33.—個均向性的線彈性材料,其彈性模數E=30ksi,包松比v 為0.25,則其剪力模數G應為多少ksi? (A) 12 (B)15 (C) 20 (D) 24
34.在平面構架中,鉸支承(hinge)、滾動支承(roller)及固定支承(fixed support)各有幾個方向之反力? (A)鉸支承有1,滾動支承有2,固定支承有3 (B)鉸支承有2,滾動支承有1,固定支承有3 (C)鉸支承有1,滾動支承有3,固定支承有2 (D)鉸支承有3,滾動支承有2,固定支承有1
35.在平面應力之情形下,若材料中之某一點所受之應力為σ
x
=100N/cm
2
,σ
y
= -100N/cm
2
,τ
xy
=0 ,則此材料在這一點所承受之絕對最大剪應力應為多少N/cm
2
? (A)0 (B) 50 (C) 100 (D) 200
36.如右圖所示,半徑為r之圓環,環之厚度為t,當t非常小時,相對於 形心位置之極慣性矩I
p
值為多少?
37.如右圖懸索系統中,兩繩索下繫質量5kg之物品,計算各 繩索之拉力值,下列何者正確? (A) AB拉力值98N (B) AB拉力值49N (C) AD拉力值98N (D) AD拉力值49N
38.如右圖所示,一均勻斷面梁(EI=常數),在B端受一鉛直P力 作用,計算下列各點之撓度、斜度、彎矩及反力何者正確?
39. —元素之應力狀態如右圖所示(平面應力),則此元素所受最 大剪應力為多少? (A) 500 kPa (B) 2000 kPa (C) 2500 kPa (D) 3000 kPa
40.如右圖所示之析架,當承受一水平力P作用時,内部桿件 a、b、c、d中,何者為零力桿件? (A)桿 a (B)桿 b (C)桿 c (D)桿 d
41•如右圖所示之桁架結構,於結點E承受100N之鉛直力,則内力 為零之桿件數目為何? (A) 0 (B) 1 (C) 2 (D) 3
42.如右圖所示梁-彈簧結構系統,軸力彈簧勁度
,在外力P作用下,試求C點反力為: (A) P (B) 0.75P (C) 0.5P (D) 0.25P
43.如右圖所示之梯形分布力量,求合力作用位置d為: (A) 2.55 m (B) 2.67 m (C) 2.78 m (D) 2.84 m
44.如右圖所示,有一柱,長為L,在頂端受一軸力P,若此柱 之斷面積為A,楊氏模數(Young’s modulus)為E,試問此柱 所餘存之應變能(strain energy)為多少?
45.如右圖所示之抛物線面積,其形心之
為: (A) 3h/10 (B) 2h/5 (C) 3h/4 (D) 3h/8
【題組】
之最大剪力V
max
為: (A) 1320 lb (B) 14521b (C) 19801b (D) 2112 lb
【題組】
47.承上題之圖所示之最大力矩M
max
為: (A) 3584 ft-lb (B) 3897 ft-lb (C)4032 ft-lb (D)4480 ft-lb
48. 右圖為一伸臂鋼樑(overhanging steel beam) ABC 於端點C承受一集中荷重P,試問下列何者為AB 部分樑之彈性曲線方程式? (A) y=PaL
2
/6EI[x/L - (x/L)
3
] (B) y=PaL
2
/6EI[x/L - (x/L)
2
] (C) y=PaL
2
/2EI[x/L —(x/L)
2
] (D) y=PaL
2
/3EI[x/L-(x/L)
3
]
【題組】
在其彈性範圍 内之彈性係數E=200GPa,屈服點(yield point)σ
y
=300 MPa,該桿件承受一軸載重直至桿件伸 長7 mm後載重移除,試問屈服應逐(yield strain)ε
y
= ? (A) 14xl0
-3
(B) 1.5xl0
-3
(C) 12.5xl0
-3
(D) 15.5xl0
-3
50.承上題,當載重移除後試問應變(strain) £ d = ? (A) 15.5xl0*3 (B) 14xl(T3 (C) 12.5xl0'3 (D) 10.5xl0'3
申論題 (0)
相關試卷
114年 - 114 高等考試_三級_農業機械:應用力學#128561
114年 · #128561
113年 - 113 高等考試_三級_農業機械:應用力學#121410
113年 · #121410
112年 - 112 高等考試_三級_農業機械:應用力學#115589
112年 · #115589
110年 - 110 高等考試_三級_農業機械:應用力學#102778
110年 · #102778
109年 - 109 高等考試_三級_農業機械:應用力學#88630
109年 · #88630
108年 - 108 高等考試_三級_農業機械:應用力學#77689
108年 · #77689
107年 - 107 高等考試_三級_農業機械:應用力學#71159
107年 · #71159
107年 - 107 中華郵政股份有限公司_職階人員甄試_專業職(一)/機械修護1、機械修護2:應用力學(靜力、動力)#68273
107年 · #68273
105年 - 105 中華郵政股份有限公司_職階人員甄試_專業職(一)/機械修護1、機械修護2:應用力學(靜力、動力)#68334
105年 · #68334
105年 - 105 高等考試_三級_農業機械:應用力學#54604
105年 · #54604