所屬科目:研究所、轉學考(插大)-微積分
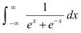
(a)
(b)
(c)
(d)
(e)
2. Find the equation for the tangent line to the curve 2x3+2y3=9xy at the point (1,2).
(a) Prove that f(x) is continuous at x=0.
(b) Find the derivative of f(x).
(c) Is f'(x) continuous at x=0? Why?
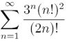
(a) Find the interval of convergence.
(b) For what values of x does the series converge absolutely.
(c) For what values of x does the series converge conditionally.
5. A rectangular box without a top is to have a volume of 12 cubic feet. Find the dimensions of the box that will have minimum surface area.
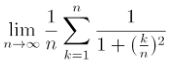
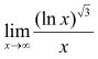
6. 求極限=?
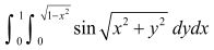
7. 求不定積分=?
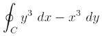
8. 求線積分之值,其中曲線C的方程式為x2+y2=49。
10. 已知此平面x+y+z=1與圓柱x2+y2=1相交為一個橢圓,求此橢圓上距離圓點最近與最遠的點?