阿摩線上測驗
登入
首頁
>
研究所、轉學考(插大)-微積分
>
99年 - 99 國立臺南大學_轉學生招生考試試題_應用數學系二年級:微積分#124193
> 申論題
申論題
試卷:99年 - 99 國立臺南大學_轉學生招生考試試題_應用數學系二年級:微積分#124193
科目:研究所、轉學考(插大)-微積分
年份:99年
排序:0
申論題資訊
試卷:
99年 - 99 國立臺南大學_轉學生招生考試試題_應用數學系二年級:微積分#124193
科目:
研究所、轉學考(插大)-微積分
年份:
99年
排序:
0
題組內容
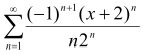
4. Consider the series
.
申論題內容
(a) Find the interval of convergence.