阿摩線上測驗
登入
首頁
>
研究所、轉學考(插大)-微積分
>
99年 - 99 國立臺南大學_轉學生招生考試試題_應用數學系二年級:微積分#124193
> 申論題
題組內容
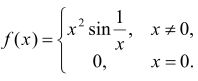
3. Let
(a) Prove that f(x) is continuous at x=0.
相關申論題
(a)
#527878
(b)
#527879
(c)
#527880
(d)
#527881
(e)
#527882
2. Find the equation for the tangent line to the curve 2x3+2y3=9xy at the point (1,2).
#527883
(b) Find the derivative of f(x).
#527885
(c) Is f'(x) continuous at x=0? Why?
#527886
(a) Find the interval of convergence.
#527887
(b) For what values of x does the series converge absolutely.
#527888
相關試卷
114年 - 114 臺灣綜合大學系統_學士班轉學生考試試題:微積分A#137897
114年 · #137897
114年 - 114 臺灣綜合大學系統_學士班轉學生考試試題:微積分B#137819
114年 · #137819
114年 - 114 台灣聯合大學系統_學士班轉學生考試試題:微積分#137762
114年 · #137762
114年 - 114 台灣聯合大學系統_學士班轉學生考試試題:微積分#137761
114年 · #137761
114年 - 114 國立臺灣大學_轉學生招生考試_物理學系/土木工程學系/生物環境系統工程學系/生物機電工程學系:微積分(B)#137745
114年 · #137745
114年 - 114 國立臺灣大學_轉學生招生考試_數學系:微積分(A)#137744
114年 · #137744
113年 - 113 國立嘉義大學_轉學生招生考試試題_(全校):微積分#122986
113年 · #122986
112年 - 112 國立臺灣大學_碩士班招生考試題:微積分(D)#130254
112年 · #130254
112年 - 112 國立陽明交通大學_碩士班入學招生試題_統計學研究所﹕微積分與線性代數#130252
112年 · #130252
112年 - 112 國立嘉義大學_轉學生招生考試試題:微積分#123297
112年 · #123297