阿摩線上測驗
登入
首頁
>
物理化學
> 99年 - 99 專技高考_專利師(選試專業英文及物理化學)、專利師(選試專業日文及物理化學):物理化學#36655
99年 - 99 專技高考_專利師(選試專業英文及物理化學)、專利師(選試專業日文及物理化學):物理化學#36655
科目:
物理化學 |
年份:
99年 |
選擇題數:
0 |
申論題數:
18
試卷資訊
所屬科目:
物理化學
選擇題 (0)
申論題 (18)
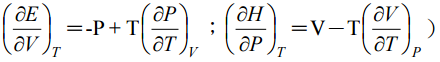
⑴此氣體從(T
1
, P
1
)經絕熱可逆膨脹(adiabatic reversible expansion)到(T
2
, P
2
) 求∆ E=? ∆ H=?(4 分)
⑵此氣體從(T
1
, P
1
)經絕熱自由膨脹(adiabatic free expansion)到(T
2
, P
2
) 求∆ E=? ∆ H=?(4 分)
⑶此氣體從(T , P
1
)經等溫自由膨脹(isothermal free expansion)到(T , P
2
) 求∆ E=? ∆ H=?(4 分)
⑷此氣體從(T , P
1
)經等溫可逆膨脹(isothermal reversible expansion)到(T , P
2
) 求∆ E=? ∆ H=?(4 分)
⑴將 0.5 莫耳理想Α氣體(其體積V,而分壓P)與 0.5 莫耳理想B氣體(其體積V, 分壓為P),在定溫下混合形成 1 莫耳的A + B混合物,如下圖所示。求圖中∆ S
1
=?;∆ S
2
=?;∆ S
3
=?(12 分)
⑵請解釋上式⑴中求得∆ S
3
之值,代表物理意義為何?(4 分)
【已刪除】三、對於下列氣體的反應,以反應式⑴表示 a A(g) + b B(g) c C(g) + d D(g) … ⑴ 如果在某一熱力學條件下此反應 Gibbs 自由能改變(change of Gibbs free energies of the reaction),
,反應式⑴在何種狀態?(9 分)
⑴寫出反應,依反應式⑴由左向右自然發生,其條件為何?請用化學位能μ
i
(i= A, B, C, D)表示?(6 分)
⑵寫出反應,依反應式⑴達到平衡時,其條件為何?請用化學位能μ
i
(i= A, B, C, D) 表示?(6 分)
⑴當 q≈ 1它告訴我們何種物理意義?(5 分)
⑵當 q>> 1,它又告訴我們何種物理意義?(5 分)
⑴計算
12
C
16
O之鍵長為多少(用Å表示之)?(5 分)
⑵預測
12
C
16
O之下兩個比最低頻率高的微波吸收頻率(the next two lowest microwave absorption frequencies)為多少?(5 分)
⑶在 25℃,計算(在 J=1 能階的粒子數)與(J=0 能階的粒子數)之比值? (Calculate the ratio of the J = 1 population to J = 0 population)(5 分)
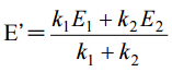
【已刪除】七、對於兩並行反應(parallel reactions)
(其活化能E
1
),及
(其 活化能E
2
),證明A消失反應的活化能E’,用活化能E
1
及E
2
表示為:(10 分)
【已刪除】⑴求出下列反應機構的速率表示式(rate expressions)
B 的濃度遠小於 A, C, D 的濃度,穩定態(steady state)近似法可用來求出速率定律(rate law)(4 分)
⑵證明在高壓下,此反應為 1 級方程式(first-order equation)(4 分)
【已刪除】⑶在低壓下,此反應為 2 級方程式(second-order equation)(4 分)
(註一:普朗克常數(Planck constant)h=6.626 ×10
−27
erg⋅s
波茲曼常數 k
B
=1.38 × 10
−16
erg / deg)
(註二:
相關試卷
114年 - 114 公務升官等考試_薦任_商品檢驗:物理化學#133264
114年 · #133264
114年 - 114 專技高考_專利師(選試專業英文及物理化學)、專利師(選試專業日文及物理化學):物理化學#130114
114年 · #130114
113年 - 113 專技高考_專利師(選試專業英文及物理化學)、專利師(選試專業日文及物理化學):物理化學#122216
113年 · #122216
112年 - 112 公務升官等考試_薦任_商品檢驗:物理化學#117324
112年 · #117324
110年 - 110 公務升官等考試_薦任_商品檢驗:物理化學#103703
110年 · #103703
110年 - 110 專技高考_專利師(選試專業英文及物理化學)、專利師(選試專業日文及物理化學):物理化學#100751
110年 · #100751
109年 - 109 專技高考_專利師(選試專業英文及物理化學)、專利師(選試專業日文及物理化學):物理化學#90221
109年 · #90221
108年 - 108 公務升官等考試_薦任_商品檢驗:物理化學#80518
108年 · #80518
108年 - 108 專技高考_專利師(選試專業英文及物理化學)、專利師(選試專業日文及物理化學):物理化學#78681
108年 · #78681
107年 - 107 專技高考_專利師(選試專業英文及物理化學)、專利師(選試專業日文及物理化學):物理化學#71648
107年 · #71648