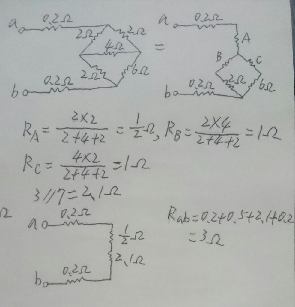
10. 如圖【五】所示電路,試求a、b 兩點間的電阻為多少?
(A) 5Ω
(B) 4Ω
(C) 3Ω
(D) 2Ω

答案:登入後查看
統計: A(8), B(22), C(494), D(36), E(0) #2115492
統計: A(8), B(22), C(494), D(36), E(0) #2115492
詳解 (共 2 筆)
#3703120

2
0
#4323200
2+2=4 2+6=8
4//8=2.6
0.2+2.6+0.2=3
1
4