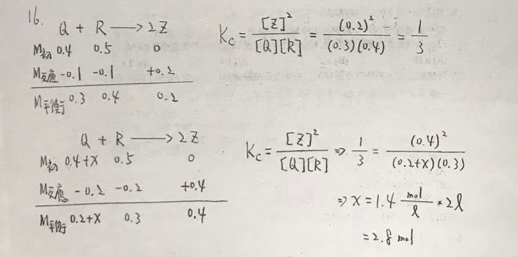
16.定溫下,在2.0公升密閉容器內的反應:
達平衡時,
的平衡濃度分別為 0.30 M、0.40 M 與 0.20 M,在同溫且固定體積下,需要在容器中添加
多少莫耳,讓反應再次達到平衡後,可使
的平衡濃度變為 0.4 M ?
(A) 0.60
(B) 1.2
(C) 1.4
(D) 2.8
答案:登入後查看
統計: A(15), B(8), C(9), D(6), E(0) #2697862
統計: A(15), B(8), C(9), D(6), E(0) #2697862
詳解 (共 1 筆)
#5685880

0
0