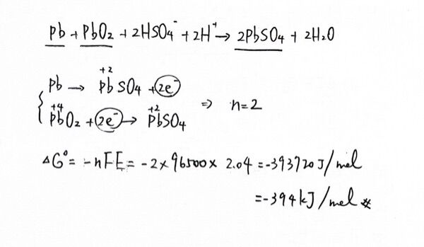
16. 下列為一般汽車使用的鉛蓄電池的化學反應式,25 °C 時此反應的自由能變化△G° =? Pb + PbO2 + 2HSO4 – + 2H+ → 2PbSO4 + 2H2O E° = +2.04 V
(A) –98 kJ
(B) –197 kJ
(C) –394 kJ
(D) –591 kJ
(E) –787 kJ
答案:登入後查看
統計: A(12), B(41), C(471), D(7), E(51) #1992573
統計: A(12), B(41), C(471), D(7), E(51) #1992573
詳解 (共 3 筆)
#3732412
Hint:同第9題,需熟記自由能、電位、平衡常數三者互相轉換的公式
這裡使用電位與自由能的轉換公式 △G°=-nFE
將數據代入,△G°= -2 x 96500 x 2.04 =-393720 J
答案選(C)
18
1
#6324951

4
0