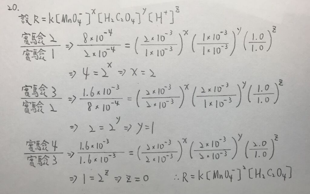
20. 有一反應經過下列 4 次實驗,其起始反應物之濃度與實驗測得之初始反應速率整理如 表(一),下列反應速率定律式何者正確?( k為速率常數)
(A)
(B)
(C)
(D)
答案:登入後查看
統計: A(2), B(8), C(6), D(21), E(0) #2918269
統計: A(2), B(8), C(6), D(21), E(0) #2918269
詳解 (共 1 筆)
#5683921

0
0