阿摩線上測驗
登入
首頁
>
國中會考基測◆數學科
>
91年 - 91-2 國中基測:數學科#36626
> 試題詳解
22. 如圖(十四),ABCD為一四邊形,∠A=∠C=90∘、
=
=5、
=2,
的長會落在下列哪一個範圍內?
(A) 5<
<6
(B) 6<
<7
(C) 7<
<8
(D) 8<
<9
答案:
登入後查看
統計:
A(11), B(68), C(11), D(9), E(0) #1052081
詳解 (共 1 筆)
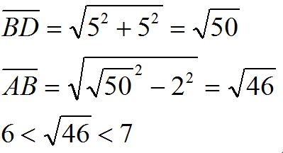
許叮叮
B1 · 2016/01/05
#1233669
4
0
私人筆記 (共 1 筆)
Terry Tung
2022/04/13
私人筆記#4037950
未解鎖
(共 0 字,隱藏中)
前往觀看
0
0
相關試題
1. 計算 9 +(-2)x〔18-(-3)x 2〕÷ 4之值為何? (A) -3 (B) 3 (C) 21 (D) 42
#1052060
2. 已知二元一次聯立方程式 的解為x=a,y=b,則│a-b│=﹖ (A) 1 (B) 11 (C) 13 (D) 16
#1052061
3. 如圖(一),ㄅ、ㄆ、ㄇ、ㄈ是四個長方形。若用x的多項式來表示它們的面積,則下列哪一個長方形的面積不是6x? (A) ㄅ (B) ㄆ (C) ㄇ (D) ㄈ
#1052062
4. 請問下列哪一個選項是方程式36-x ÷ 7=6的解法? (A) x=6 × 7+36 (B) x=(36-6) × 7 (C) x=(36+6) × 7 (D) x=6×(36-7)
#1052063
5. 如圖(二),橫列有9個方格,直列有7個方格。若將每個方格內都填入一個數字,使得橫列方格內的數字由左到右成等差數列,直列方格內的數字由上到下也成等差數列。已知共同方格內的數字是42,求a-b=? (A) 44 (B) 42 (C) 40 (D) 38
#1052064
6. 已知甲=-23/8 、乙=-2+3/8 、丙=-1.375,請問下列哪一個選項是正確的? (A)甲=乙 (B)乙=丙 (C)甲<乙<丙 (D)甲<丙<乙
#1052065
7. 已知a=(-3)3+(-4)3+(-5)3,則a的立方根為何? (A) 6 (B) -6 (C) 12 (D) -12
#1052066
8 下列哪一個多項式是6x2-7x-3與4x2-12x+9的公因式? (A) 2x2+5x-12 (B)(2x-3)2 (C) 2x-3 (D) 3x+1
#1052067
9. 小宏家中有一老舊長方體水塔,其長為3公尺、寬為2.5公尺、高為1.5公尺。現在想依照原有長寬高的比例擴建一新水塔。若新水塔的長比原來的多了0.6公尺,則下列關於新水塔的敘述哪一個是正確的? (A)高為2.4公尺 (B)高為2公尺 (C)寬為3.1公尺 (D)寬為3公尺
#1052068
10. 一條東西向道路與一條南北向道路的交會處有一座雕像,甲車位於雕像東方5 km處,乙車位於雕像北方7 km處。若甲、乙兩車以相同速率向雕像的方向同時出發,當甲車到了雕像西方1 km處時,乙車在哪裡? (A)雕像北方1 km處 (B)雕像北方3 km處 (C)雕像南方1 km處 (D)雕像南方3 km處
#1052069
相關試卷
114年 - 114 國中教育會考:數學#127076
2025 年 · #127076
113年 - 113 張進通許世賢教育文教基金會_雲嘉南區國中數學能力競試試題:數學(二)#124230
2024 年 · #124230
113年 - 113 張進通許世賢教育文教基金會_雲嘉南區國中數學能力競試試題:數學#124229
2024 年 · #124229
113年 - 113 國中教育會考 :數學#119879
2024 年 · #119879
112年 - 112 張進通許世賢教育文教基金會_雲嘉南區國中數學能力競試試題:數學一#124231
2023 年 · #124231
112年 - 112 國中教育會考(大陸考場):數學#116361
2023 年 · #116361
112年 - 112 國中教育會考:數學#114306
2023 年 · #114306
111年 - 111 國中教育會考(參考試題):數學科#113403
2022 年 · #113403
111年 - 111 國中教育會考(補考):數學科#113398
2022 年 · #113398
111年 - 111 國中教育會考:數學#108009
2022 年 · #108009