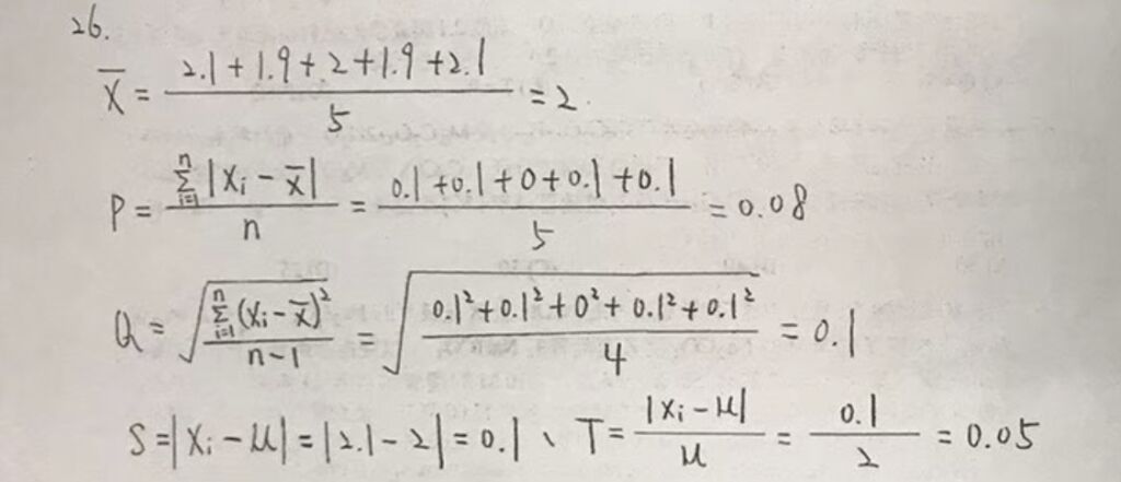
26.某生對同一試樣進行5次重複分析,所得到的測值分別為2.1、1.9、2.0、1.9及2.1,若
這些分析數據的平均偏差為P、標準偏差為Q、測值2.1與真值的絕對誤差為S及測值1.9
與真值的相對誤差為 T,已知該試樣真值為 2.0,下列何者正確?
(A) Q = S
(B) S = T
(C) T = P
(D) P = Q
答案:登入後查看
統計: A(11), B(7), C(6), D(1), E(0) #2697872
統計: A(11), B(7), C(6), D(1), E(0) #2697872
詳解 (共 1 筆)
#5685883

0
0