27. 一被垂直往上射出之物體在上升至 4.2 m 高度時,其速率降至初速的 40 %,求可上升之
最大高度為多少m?
(A) 3
(B) 5
(C) 7
(D) 10
答案:登入後查看
統計: A(1), B(3), C(7), D(2), E(0) #1884766
統計: A(1), B(3), C(7), D(2), E(0) #1884766
詳解 (共 3 筆)
#5773914
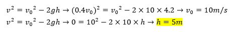
由(v末)平方=(v初)平方-2*a*s 公式
(0.4v)平方=v平方-2*10*4.2 得v=10
0平方=10平方-2*10*S 得S=5
0
0
