34 由甲和乙兩股票構成的投資組合,其中甲占40%,乙占60%。甲股票報酬率的變異數為0.3,乙股票報酬率的變異數為0.5,假設甲和乙股票的共變數為0.3,則此投資組合報酬率之變異數為?
(A)0.420
(B)0.720
(C)0.372
(D)0.492

答案:登入後查看
統計: A(193), B(164), C(763), D(105), E(0) #1911744

詳解 (共 6 筆)

#4591610

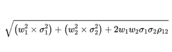
投資組合報酬率之變異數=

(甲投資比例2*甲變異數)+(乙投資比例2*乙變異數)+2*甲投資比例*乙投資比例*共變數=

(0.42*0.3)+(0.62*0.5)+2*0.4*0.6*0.3=

0.048+0.18+0.144=0.372

47
0
#3884148
計算機按法: 1.甲0.4XX(按兩次...
(共 152 字,隱藏中)
前往觀看
13
0
#3277236
相關係數=共變異數÷個別標準差  標準差...
(共 217 字,隱藏中)
前往觀看
13
0
#3538406
標準差2=變異數投資組合變異數:Var(...
(共 135 字,隱藏中)
前往觀看
11
0
#6006727
(0.4^2×0.3)+(0.6^2×0...
(共 88 字,隱藏中)
前往觀看
10
1
#6549258


6878a72548277.jpg公式是這樣,怎麼算出來不是?最接近答案的D

1
0