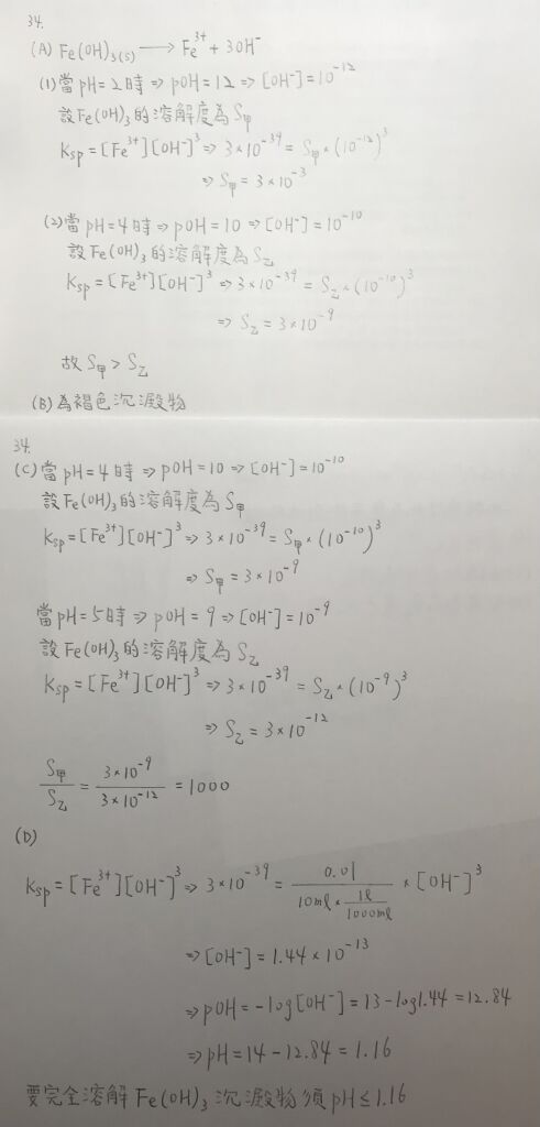
34. 在25℃下,在兩個燒杯(燒杯甲與燒杯乙)中分別置入0.01莫耳 Fe(OH)3 沉澱物,再分別加入 10 毫升純水於兩個燒杯中並混合均勻,分別得到甲水溶液 ( 燒杯甲 ) 與乙水溶液 ( 燒杯乙 ) ,( 若甲水溶液與乙水溶液中 Fe(OH)3 沉澱物僅會溶解產生
陽離子 ) , 則下列敘述何者正確?(在25℃,Fe(OH )3 之
)
(A) 在25℃下,以1M鹽酸調整甲水溶液並混合均勻,使水溶液pH=2,另以1M鹽酸調整 乙水溶液並混合均勻,使水溶液pH=4,則甲水溶液中有較多 Fe(OH )3 沉澱物被溶解
(B) 在兩個燒杯中, Fe(OH )3 為綠色沉澱物
(C) 在25℃下,以1M鹽酸調整甲水溶液並混合均勻,使水溶液pH=4,另以1M鹽酸調整 乙水溶液並混合均勻,使水溶液pH=5,則甲水溶液中有較多 Fe(OH )3 沉澱物被溶解, 甲水溶液中被溶解量為乙水溶液的10倍
(D) 在25℃下,以1M鹽酸調整甲水溶液並混合均勻,使水溶液pH=3,則 Fe(OH )3 沉澱物會完全溶解
答案:登入後查看
統計: A(17), B(3), C(7), D(5), E(0) #2918283
統計: A(17), B(3), C(7), D(5), E(0) #2918283
詳解 (共 1 筆)
#5683935

0
0