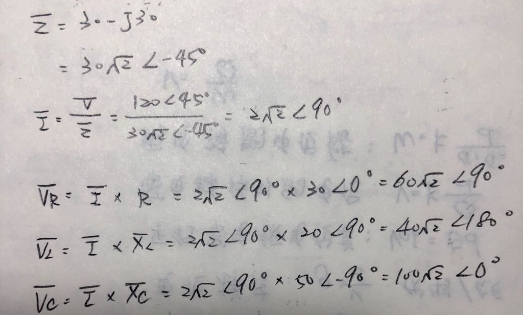
39.在交流 R-L-C 串聯電路,若已知
=120∠45° ,R=30 Ω,XL=20 Ω,XC=50 Ω ,則下列何者錯誤?
(A)
(B)
(C)
(D) 
答案:登入後查看
統計: A(35), B(328), C(29), D(20), E(0) #1670452
統計: A(35), B(328), C(29), D(20), E(0) #1670452
