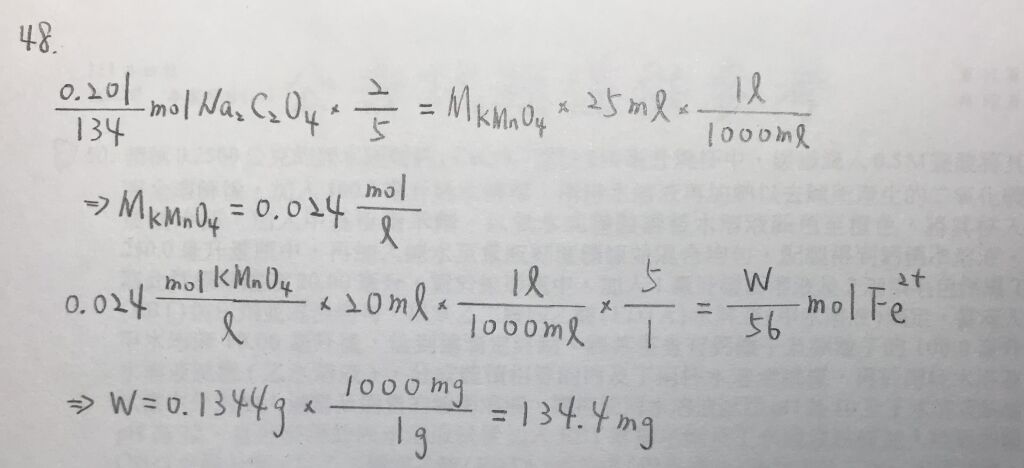
48. 對某KMnO4 標準溶液的濃度進行標定時,先將0.2010公克的草酸鈉( Na2C2O4) 置於錐形瓶 中、加入 50.00 毫升 1 M 硫酸水溶液酸化並搖晃使草酸鈉完全溶解後,再將此水溶液加熱 至 60 ℃,趁熱以此KMnO4 標準溶液滴定,當滴入 25.00 毫升時,恰到達滴定終點。接著 另以此KMnO4 標準溶液滴定某含有亞鐵離子 (
) 且已酸化處理的水溶液試樣 50 毫升 ( 甲水溶液 ) ,當滴入 20.00 毫升時,恰到達滴定終點 ( 若此水溶液試樣中不含干擾本滴定反應之物質 ) ,則此亞鐵離子的水溶液試樣 50 毫升 ( 甲水溶液 ) 中所含
的質量(mg)為多少?(式量: Na2C2O4 =134,原子量: Fe =56 )
(A) 33.60
(B) 67.20
(C) 134.4
(D) 168.0
答案:登入後查看
統計: A(2), B(8), C(15), D(2), E(0) #2918297
統計: A(2), B(8), C(15), D(2), E(0) #2918297
詳解 (共 1 筆)
#5683943

0
0